Giao diện mới của VnDoc Pro: Dễ sử dụng hơn - chỉ tập trung vào lớp bạn quan tâm. Vui lòng chọn lớp mà bạn quan tâm: Lưu và trải nghiệm
Đóng
Điểm danh hàng ngày
  • Hôm nay +3
  • Ngày 2 +3
  • Ngày 3 +3
  • Ngày 4 +3
  • Ngày 5 +3
  • Ngày 6 +3
  • Ngày 7 +5
Bạn đã điểm danh Hôm nay và nhận 3 điểm!
Nhắn tin Zalo VNDOC để nhận tư vấn mua gói Thành viên hoặc tải tài liệu Hotline hỗ trợ: 0936 120 169

Đề thi giải toán trên Máy tính bỏ túi tỉnh Cà Mau môn Toán lớp 12 THPT năm học 2009 - 2010

Lớp: Lớp 12
Loại File: Word
Phân loại: Tài liệu Tính phí

Vndoc.com xin gửi đến các bạn: Đề thi giải toán trên Máy tính bỏ túi tỉnh Cà Mau môn Toán lớp 12 THPT năm học 2009 - 2010.

Đề thi môn Toán:

SỞ GIÁO DỤC VÀ ĐÀO TẠO
CÀ MAU

(Đề thi chính thức)

KỲ THI GIẢI TOÁN TRÊN MÁY TÍNH CẦM TAY
NĂM HỌC 2009 - 2010
MÔN: TOÁN LỚP 12 THPT

(Thời gian làm bài 150 phút không kể thời gian giao đề)
Ngày thi: 29/11/2009



Bài 1:

Cho hàm số:

Tính:

Bài 2:

Trong mặt phẳng tọa độ (Oxy), cho đường tròn (C): x2 + y2 + 8x - 4y -5 = 0 và đường thẳng d: y = ax + b .Cho biết đường thẳng d đi qua điểm và tiếp xúc với đường tròn (C). Điểm A có thuộc đường tròn (C) không? Tính gần đúng giá trị của a và b.

Bài 3:

Tìm x (độ, phút, giây) thỏa mãn phương trình sau: 3(sin3x – cos3x) – 4sinxcosx = 1 (*)

Bài 4:

Tứ giác ABCD có các cạnh AB = 3dm, BC = 8dm, CD = 10dm, DA = 5dm. Tính gần đúng diện tích của tứ giác đó trong mỗi trường hợp sau:

a) Khi đường chéo BD = 6dm.

b) Khi AB//CD. Suy ra độ dài của bán kính đường tròn nội tiếp tứ giác trong trường hợp này.

Bài 5:

Cho . Tìm số tự nhiên n sao cho: 90,0113 < An < 90,018

Bài 6:

Hình tứ diện ABCD có AD vuông góc BC và AB = BC = CA = AD = DH = dm, trong đó DH là đường cao của tam giác BCD. Tính:

a) Bán kính R của đường tròn ngoại tiếp tam giác BCD.

b) Thể tích của khối tứ diện đó

c) Số đo (độ, phút, giây) của góc tạo bởi AC và mặt phẳng BCD.

Bài 7:

Cho hai số dương x và y thỏa mãn điều kiện x+ y = 7. Tính gần đúng giá trị lớn nhất và giá trị nhỏ nhất của biểu thức sau: Z = (x3 + 2)(y3 + 2)

Bài 8:

Tính gần đúng giá trị của a,b,c,d biết đồ thị của hàm số y = ax3 + bx2 + cx + d đi qua bốn điểm

Bài 9:

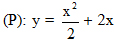
Trong mặt phẳng tọa độ (Oxy), cho đường thẳng ∆: x - 3y + 7 = 0, parabol và điểm I(4;5). Tìm điểm A thuộc ∆ và điểm B thuộc (P) sao cho I là trung điểm của đoạn thẳng AB, biết B có hoành độ âm.

Bài 10:

Cho hàm số f xác định bởi:

Tìm các giá trị của thỏa mãn phương trình sau: f(2sin2x) + f(3cos2x) = 5f(-5) (*)

Chọn file muốn tải về:
Đóng Chỉ thành viên VnDoc PRO/PROPLUS tải được nội dung này!
Đóng
79.000 / tháng
Đặc quyền các gói Thành viên
PRO
Phổ biến nhất
PRO+
Tải tài liệu Cao cấp 1 Lớp
30 lượt tải tài liệu
Xem nội dung bài viết
Trải nghiệm Không quảng cáo
Làm bài trắc nghiệm không giới hạn
Mua cả năm Tiết kiệm tới 48%
2

Có thể bạn quan tâm

Xác thực tài khoản!

Theo Nghị định 147/2024/ND-CP, bạn cần xác thực tài khoản trước khi sử dụng tính năng này. Chúng tôi sẽ gửi mã xác thực qua SMS hoặc Zalo tới số điện thoại mà bạn nhập dưới đây:

Số điện thoại chưa đúng định dạng!
Số điện thoại này đã được xác thực!
Bạn có thể dùng Sđt này đăng nhập tại đây!
Lỗi gửi SMS, liên hệ Admin
Sắp xếp theo
🖼️

Lớp 12

Xem thêm
🖼️

Gợi ý cho bạn

Xem thêm