Toán lớp 2 bài 22: Bảng trừ
Toán lớp 2 Bài 22: Bảng trừ sách Chân trời sáng tạo gồm hướng dẫn giải chi tiết các bài tập trong Sách giáo khoa Toán lớp 2, nhằm giúp cho các em học sinh lớp 2 rèn kĩ năng trình bày giải bài tập và có kế hoạch, phương pháp học tập hiệu quả. Mời các em cùng tham khảo.
Giải Toán lớp 2 tập 1 trang 67, 68, 69, 70 Bảng trừ
- Thực hành trang 67 SGK Toán lớp 2 tập 1
- Luyện tập trang 68, 69, 70 SGK Toán lớp 2 tập 1
- Bài 1 (trang 68 SGK Toán 2 tập 1)
- Bài 2 (trang 68 SGK Toán 2 tập 1)
- Bài 3 (trang 68 SGK Toán 2 tập 1)
- Bài 4 (trang 68 SGK Toán 2 tập 1)
- Bài 5 (trang 69 SGK Toán 2 tập 1)
- Bài 6 (trang 69 SGK Toán 2 tập 1)
- Bài 7 (trang 69 SGK Toán 2 tập 1)
- Bài 8 (trang 69 SGK Toán 2 tập 1)
- Bài 9 (trang 70 SGK Toán 2 tập 1)
- Thử thách trang 70 SGK Toán lớp 2 tập 1
Thực hành trang 67 SGK Toán lớp 2 tập 1
Trò chơi với bảng trừ.
a) Bạn A: Che một vài ô trong bảng trừ.
Bạn B: Nói các phép tính trừ bị che.
(Ví dụ: 15 – 7 = 8.)
Đổi vai: bạn B che, bạn A nói.

b) Bạn A nói yêu cầu, ví dụ:
Viết các phép tính trừ có hiệu là 5.
Bạn B viết ra bảng con.
Đổi vai: bạn B nói, bạn A viết.
Phương pháp giải:
Các em chơi trò chơi theo hướng dẫn của đề bài.
Lời giải chi tiết:
Ví dụ mẫu:
a) Giả sử bạn A che một ô trong bảng trừ như sau:

Khi đó, bạn B nói phép tính trừ bị che là: 17 – 9.
Đổi vai, giả sử bạn B che hai ô trong bảng trừ như sau:

Khi đó, bạn A nói phép tính trừ bị che là: 16 – 8 và 16 – 9.
b) Bạn A nói: Viết các phép tính trừ có hiệu là 7.
Bạn B viết: 11 – 4; 12 – 5; 13 – 6; 14 – 7; 15 – 8; 16 – 9;
Đổi vai:
Bạn B nói: Viết các phép tính trừ có hiệu là 4.
Bạn A viết: 11 – 7; 12 – 8; 13 – 9.
Luyện tập trang 68, 69, 70 SGK Toán lớp 2 tập 1
Bài 1 (trang 68 SGK Toán 2 tập 1)
Tính nhẩm.
|
11 – 4 13 – 8 |
18 – 9 14 – 7 |
15 – 6 16 – 9 |
12 – 4 17 – 8 |
Phương pháp giải:
Em tự tính nhẩm theo cách đã học hoặc dựa vào bảng trừ.
Lời giải chi tiết:
|
11 – 4 = 7 13 – 8 = 5 |
18 – 9 = 9 14 – 7 = 7 |
15 – 6 = 9 16 – 9 = 7 |
12 – 4 = 8 17 – 8 = 9 |
Bài 2 (trang 68 SGK Toán 2 tập 1)
Viết (theo mẫu).

Phương pháp giải:
Quan sát hình vẽ để tìm số chấm tròn màu xanh da trời và màu xanh lá cây rồi viết các phép cộng, sau đó viết các phép trừ dựa vào phép cộng vừa viết.
Lời giải chi tiết:
Quan sát hình vẽ ta thấy có 7 chấm tròn màu xanh da trời và 5 chấm tròn màu xanh lá cây.
Do đó ta có các phép tính như sau:

Bài 3 (trang 68 SGK Toán 2 tập 1)
Số?
9 + 7 = .?.
16 – 7 = .?.
16 – 9 = .?.
8 + 3 = .?.
11 – .?. = 8
11 – .?. = 3
6 + 7 = .?.
13 – .?. = 7
13 – .?. = 6
Phương pháp giải:
- Tính nhẩm các phép tính cộng theo cách tính đã học.
- Viết các phép trừ dựa vào phép cộng vừa viết được bên trên
Lời giải chi tiết:
9 + 7 = 16
16 – 7 = 9
16 – 9 = 7
8 + 3 = 11
11 – 3 = 8
11 – 8 = 3
6 + 7 = 13
13 – 6 = 7
13 – 7 = 6
Bài 4 (trang 68 SGK Toán 2 tập 1)
Lúc đầu trên xe có 12 bạn, sau đó 3 bạn xuống xe. Hỏi trên xe còn lại bao nhiêu bạn?

Phương pháp giải:
Để tìm số bạn còn lại trên xe ta lấy số bạn lúc đầu có trên xe trừ đi số bạn xuống xe.
Lời giải chi tiết:
Phép tính:

Bài 5 (trang 69 SGK Toán 2 tập 1)
Số?

Phương pháp giải:
Quan sát mẫu ta thấy mỗi số ở hàng bên trên bằng tổng của hai số liền kề ở hàng bên dưới, hay số còn thiếu bằng số ở hàng bên dưới bằng số ở hàng bên trên trừ đi số đã biết ở hàng bên dưới.
Lời giải chi tiết:
+) Với hình bên trái
Số cần điền vào ? bên trái ở hàng thứ hai là: 5 + 2 = 7.
Số cần điền vào ? bên phải ở hàng thứ hai là: 2 + 6 = 8.
Khi đó ta có:

Số cần điền vào ? là: 7 + 8 = 15.
Vậy ta có kết quả như sau:

+) Với hình bên phải:
Số cần điền vào ? ở hàng thứ hai là: 19 – 13 = 6.
Số cần điền vào ? bên phải ở hàng dưới cùng là: 13 – 7 = 6.
Khi đó ta có:

Số cần điền vào ? là: 6 – 6 = 0.
Vậy ta có kết quả như sau:

Bài 6 (trang 69 SGK Toán 2 tập 1)
Số?
Biết ba số theo hàng ngang hay cột dọc đều có tổng là 15.

Phương pháp giải:
Áp dụng điều kiện đề bài “ba số theo hàng ngang hay cột dọc đều có tổng là 15” để tìm các số còn thiếu.
Lời giải chi tiết:
Ta đánh số các cột như sau:

- Tìm số cần điền vào dấu ? ở cột (3):
Ta có: 2 + 9 + ? = 15, hay 11 + ? = 15, do đó ? = 4.
- Tìm số cần điền vào dấu ? ở cột (5):
Ta có: 7 + 7 + ? = 15, hay 14 + ? = 15, do đó ? = 1.
- Tìm số cần điền vào dấu ? ở cột (6):
Ta có: 7 + ? + 3 = 15, hay 10 + ? = 15, do đó ? = 5.
- Tìm số cần điền vào dấu ? ở cột (7):
Ta có: 3 + ? + 1 = 15, hay 4 + ? = 15, do đó ? = 11.
- Tìm số cần điền vào dấu ? ở hàng cuối cùng của cột (9):
Ta có: 1 + 8 + ? = 15, hay 9 + ? = 15, do đó ? = 6.
- Tìm số cần điền vào dấu ? ở hàng trên cùng của cột (9):
Ta có: ? + 0 + 8 = 15, hay ? + 8 = 15, do đó ? = 7.
- Tìm số cần điền vào dấu ? ở cột (11):
Ta có: 8 + 4 + ? = 15, hay 12 + ? = 15, do đó ? = 3.
Khi đó ta có:

- Tìm số cần điền vào dấu ? ở cột (4):
Ta có: 5 + ? + 1 = 15, hay 6 + ? = 15, do đó ? = 9.
- Tìm số cần điền vào dấu ? ở cột (9):
Ta có: 7 + ? + 6 = 15, hay 13 + ? = 15, do đó ? = 2.
Vậy ta có kết quả như sau:

Bài 7 (trang 69 SGK Toán 2 tập 1)
Thuyền nào đậu sai bến?

Phương pháp giải:
Tính giá trị của từng phép tính, thuyền nào có kết quả khác 5 thì thuyền đó đậu sai bến.
Lời giải chi tiết:
a) Ta có:
12 – 7 = 5; 14 – 9 = 5;
11 – 6 = 5; 13 – 7 = 6.
Vậy thuyền đậu sai bến là thuyền D.
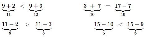
Bài 8 (trang 69 SGK Toán 2 tập 1)
Điền dấu (>, <, =) thích hợp vào chỗ chấm.
|
9 + 2 .?. 9 + 3 |
3 + 7 .?. 17 – 7 |
|
11 – 2 .?. 11 – 3 |
15 – 10 .?. 15 – 9 |
Phương pháp giải:
Tính giá trị hai vế rồi so sánh kết quả với nhau, sau đó điền dấu thích hợp vào chỗ chấm.
Lời giải chi tiết:

Bài 9 (trang 70 SGK Toán 2 tập 1)
Tính để tìm ghế cho bạn.


Phương pháp giải:
Tính nhẩm giá trị mỗi phép tính, từ đó tìm được ghế của mỗi bạn.
Lời giải chi tiết:
Ta có:
13 – 5 = 8; 13 – 3 = 10;
13 – 7 = 6; 13 – 9 = 4.
Vậy ghế của mỗi bạn như sau:

Thử thách trang 70 SGK Toán lớp 2 tập 1
Hình phía sau rổ len có bao nhiêu cái cúc áo?

Phương pháp giải:
Quan sát hình đã cho ta thấy hai ô liền nhau hơn (hoặc kém) nhau 4 cái cúc áo, từ đó tìm được số cái cúc áo ở sau rổ len.
Lời giải chi tiết:
Ta đánh số các ô như sau:

Quan sát ta thấy ô thứ nhất có 19 cái cúc áo, ô thứ hai có 15 cái cúc áo, ô thứ ba có 11 cái cúc áo.
Mà: 19 – 15 = 4 ; 15 – 11 = 4.
Vậy hai ô liền nhau hơn (hoặc kém) nhau 4 cái cúc áo.
Ô thứ tư có số cái cúc áo là:
11 – 4 = 7 (cái)
Vậy hình phía sau rổ len có 7 cái cúc áo.
Ngoài Toán lớp 2 bài 22: bảng trừ Chân trời sáng tạo trên, mời bạn đọc tham khảo VBT Toán lớp 2 Chân trời, luyện tập củng cố kiến thức với các bài Trắc nghiệm Toán lớp 2 Chân trời sáng tạo và rèn kĩ năng giải Bài tập Toán lớp 2