Đề thi thử THPT Quốc gia năm 2023 môn Địa lần 1 trường THPT Hồng Lĩnh, Hà Tĩnh
Đề thi thử tốt nghiệp THPT 2023
Loại File:
PDF
Phân loại:
Tài liệu Tính phí

Trang1/4 – Mã đề thi 001
SỞ GD&ĐT HÀ TĨNH
TRƯỜNG THPT HỒNG LĨNH
ĐỀ THI CHÍNH THỨC
(Đề thi gồm 04 trang, 40 câu)
KỲ THI THỬ TỐT NGHIỆP THPT NĂM 2023
Bài thi: KHOA HỌC XÃ HỘI
Môn thi thành phần: ĐỊA LÍ
Thời gian làm bài: 50 phút, không kể thời gian phát đề
Họ, tên thí sinh: ………………………………………………………………………………
Số báo danh:…………………………………………………………………………………...
Câu 41:Căn cứ vào Atlat Địa lí Việt Nam trang 19, cho biết tỉnh nào có tổng diện tích và sản lượng lúa
cao nhất trong các tỉnh nào sau đây?
A.Tiền Giang. B.Thanh Hóa. C.Tây Ninh. D.Kiên Giang.
Câu 42: Hệ thống sông nào có tiềm năng thủy điện lớn nhất trong các hệ thống sông sau đây?
A.Sông Đà Rằng. B. Sông Mã. C. Sông Đà. D. Sông Xrê Pôk.
Câu 43:Căn cứ vào Atlat Địa lí Việt Nam trang 9, cho biết địa điểm nào có nhiệt độ trung bình tháng I
thấp nhất trong các địa điểm sau đây?
A.Hà Tiên. B. A Pa Chải. C. Huế. D. Hà Nội.
Câu 44:Căn cứ vào Atlat Địa lí Việt Nam trang 23, cho biết địa điểm nào sau đây nằm ở nơi đường 25
gặp đường số 1?
A.Tuy Hòa. B. A Yun Pa. C. Pleiku. D. An Khê.
Câu 45:Biện pháp mở rộng rừng đặc dụng ở nước ta là?
A. trồng rừng phòng hộ. B. trồng rừng ngập mặn.C.lập vườn quốc gia.D. trồng thêm rừng mới.
Câu 46:Đồng bằng nước ta thường xảy ra
A.lũ quét. B.lũ nguồn. C.ngập lụt. D. sóng thần.
Câu 47: Sản phẩm chuyên môn hóa công nghiệp của hướng Hà Nội - Việt Trì - Lâm Thao là
A. cơ khí, luyện kim. B. hóa chất, giấy. C. điện, dệt - may. D. khai thác than, điện.
Câu 48:Lượng mưa của Huế cao hơn ở Hà Nội và Thành phố Hồ Chí Minh là do Huế chịu tác động của
các nhân tố
A. bão, áp thấp nhiệt đới, gió mùa đông bắc, gió tây nam.
B. bão, áp thấp nhiệt đới, Tín phong bán cầu Bắc, gió tây nam.
C. bão, áp thấp nhiệt đới, gió tây nam, dải hội tụ nhiệt đới.
D. bão, áp thấp nhiệt đới, gió mùa đông bắc, dải hội tụ nhiệt đới.
Câu 49:Căn cứ vào Atlat Địa lí Việt Nam trang 4 - 5, cho biết tỉnh nào sau đây có đường biên giới dài
nhất trong các tỉnh sau đây?
A. Quảng Trị. B. Thừa Thiên Huế. C.Nghệ An. D.Hà Tĩnh.
Câu50:Căn cứ Atlat địa lí Việt Nam trang 10, cho biết sông nào sau đây chảy vào hồ Thác Bà?
A.Sông Đà. B.Sông Mã. C.Sông Cả. D.Sông Chảy.
Câu 51:Căn cứ vào Atlat Địa lí Việt Nam trang 14, cho biết đỉnh núi nào sau đây cao dưới 1500m?
A.Braian. B.Chư Yang Sin. C.ChưPha. D.Vọng Phu.
Câu 52:CăncứvàoAtlatĐịalíViệt Nam trang 15, chobiếttỉnh nào sau đây có mật độ dân số cao nhất?
A.Nghệ An. B.Bến Tre. C.Bình Thuận. D.Gia Lai.
Câu 53:CăncứvàoAtlatĐịalíViệt Nam trang 17, chobiếttỉnh nào sau đây không có khu kinh tế cửa
khẩu?
A.Hà Giang. B.Quảng Trị. C.Tây Ninh. D.Đắk Lắk.
Câu 54:CăncứvàoAtlatĐịalíViệt Nam trang 21, chobiếtngành điện tử có ở trung tâm nào sau đây?
A.Huế. B.Cà Mau. C.Cần Thơ. D.Đà Nẵng.
Câu 55:CăncứvàoAtlatĐịalíViệt Nam trang 22, chobiếtnhà máy thủy điện sông Hinh nằm trên sông nào?
Mã đề: 001

Trang2/4 – Mã đề thi 001
A.Sông Chu. B.Sông Gâm. C.Sông Cả. D.Sông Ba.
Câu 56:Căn cứ vào Atlat Địa lí Việt Nam trang 25, cho biết địa điểm du lịch nào sau đây nằm ở độ cao 50 -
500m?
A.Sa Pa. B.Tràm Chim. C.Hồ Thác Bà. D.Nhà tù Sơn La.
Câu57: Cho bảng số liệu:
GIÁ TRỊ XUẤT NHẬP KHẨU HÀNG HÓA VÀ DỊCH VỤ CỦA MỘT SỐ QUỐC GIA NĂM 2019
( Đơn vị: Tỷ đô la Mỹ
Quốc gia
Xingapo
Malaixia
Thái Lan
Inđônêxia
Xuất khẩu
511,2
200,7
280,4
177,0
Nhập khẩu
434,4
180,8
220,2
170,7
(Nguồn: Niên giám thống kê Việt Nam 2019, NXB Thống kê 2020)
Theo bảng số liệu, cho biết quốc gia nào sau đây có giá trị xuất siêu lớn nhất?
A.Xingapo. B.Malaixia. C.Thái Lan. D.Inđônêxia.
Câu 58: Căn cứ vào Atlat Địa lí Việt Nam trang 29, cho biết kênh Vĩnh Tế nối Châu Đốc với địa điểm
nào sau đây?
A.Cà Mau. B.HàTiên. C.RạchGiá. D.Bạc Liêu.
Câu 59:Căn cứ vào Atlat Địa lí Việt Nam trang 28, cho biết tỉnh nào sau đây có sân bay Liên Khương?
A.Ninh Thuận. B.Lâm Đồng. C.Bình Thuận. D.Đắk Nông
Câu60:Căn cứ vào Atlat Địa lí Việt Nam trang 26, cho biết tỉnh nào sau đây có ngành công nghiệp khai
thác vàng?
A.Yên Bái. B.Quảng Ninh. C.Bắc Kạn. D.Lạng Sơn.
Câu61:Căn cứ Atlat địa lí Việt Nam trang 27, cho biết sông Bến Hải chảy ra biển qua cửa nào sau đây?
A. Cửa Gianh. B. Cửa Tư Hiền. C. Cửa Sót. D. Cửa Tùng.
Câu 62:Năng suất lúa của nước ta tăng lên là do
A. đẩy mạnh việc thâm canh. B. tăng cường thêm lao động.
C. mở rộng diện tích lúa mùa. D. khai hoang vùng đất mới.
Câu 63: Điều kiện thuận lợi đối với nuôi trồng thủy sản nước ngọt ở nước ta là
A.có nhiều cửa sông, bãi triều, đầm phá. B. khí hậu và thời tiết ổn định, ít thiên tai.
C. có nhiều sông suối, kênh rạch, ao hồ. D. có các ngư trường lớn ở ngoài khơi xa.
Câu 64:Thảm thực vật ở nước ta đa dạng, bốn mùa xanh tốt là do
A. nằm ở trong vùng nội chí tuyến. B. có tiếp giáp với đường Xích đạo.
C. các khối khí di chuyển qua biển. D. tiếp giáp với Thái Bình Dương.
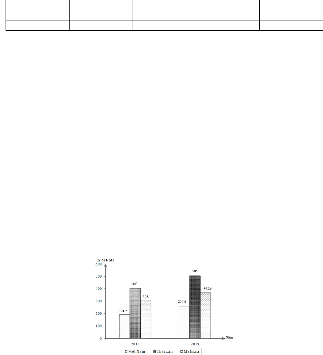
Câu65:Cho biểu đồ:
GDP CỦA VIỆT NAM, THÁI LAN VÀ MALAIXIA NĂM 2015 VÀ 2019
(Số liệu theo Niên giám thống kê Việt Nam 2019, NXB thống kê, 2020)
Theo biểu đồ, nhận xét nào sau đây đúng về sự thay đổi GDP năm 2019 so với năm 2015 của Việt Nam,
Thái Lan và Malaixia?

Trang3/4 – Mã đề thi 001
A.Việt Nam tăng chậm hơn Malaixia. B. Thái Lan tăng gấp hai lần Việt Nam.
C. Thái Lan tăng ít hơn Việt Nam. D. Malaixia tăng ít hơn Thái Lan.
Câu 66:Vùng đất của nước ta
A.gồm phần đất liền và hải đảo. B.thuhẹptheochiềubắc - nam.
C.lớnhơnvùngbiểnnhiềulần. D.chỉgiápbiểnvềphíađông.
Câu 67:Dân cư nước ta hiện nay
A. có tỉ lệ gia tăng tự nhiên ngày càng giảm. B. có quy mô dân số ngày càng giảm.
C. phân bố đồng đều tại các đồng bằng. D. chủ yếu phân bố ở thành phố lớn.
Câu 68:Các đô thị nước ta tạo ra động lực cho sự tăng trưởng và phát triển kinh tế là do
A. kết cấu hạ tầng phát triển, hiện đại. B. có dân số đông, mật độ dân số cao.
C. thu hút nhiều các nguồn vốn đầu tư. D. gắn liền với chức năng hành chính.
Câu 69:Sự thay đổi tỉ trọng cơ cấu kinh tế nước ta theo hướng
A. tăng dịch vụ, giảm chăn nuôi. B. tăng chăn nuôi, tăng cây công nghiệp.
C. giảm chăn nuôi, giảm lâm nghiệp. D. giảm thủy sản, tăng công nghiệp.
Câu 70: Thế mạnh để đẩy mạnh khai thác sinh vật biển và hải đảo ở nước ta không phải là
A. nguồn lợi sinh vật biển phong phú. B. số lượng thành phần loài đa dạng.
C. có nhiều loài quý hiếm, giá trị cao. D. có nhiều ngư trường lớn ở xa bờ.
Câu 71: Cho biểu đồ về cà phê của nước ta giai đoạn 2010 - 2020:
(SốliệutheoNiêngiámthốngkêViệt Nam 2020, NXB Thốngkê, 2021)
Biểuđồthểhiệnnội dung nàosauđây?
A.Cơcấudiệntíchvàsảnlượngcàphê.
B.Tốcđộtăngtrưởngdiệntíchvàsảnlượngcàphê.
C.Quy mô diện tích và sản lượng cà phê.
D. Chuyển dịch cơ cấu diện tích và sản lượng cà phê.
Câu 72: Dải đồng bằng ven biê
̉
n miê
̀
n Trung nước ta có nhiều cồn cát chủ yếu do
A. hoạt động của triều cường, các dòng hải lưu ven bờ và nội lực.
B. thềm lục địa hẹp và sâu, có nhiều dãy núi chạy ra gần sát biển.
C. trầmtíchbiểnbồilấptrêncácđứtga
̃
yđươ
̣
csóngbiểnmàimo
̀
n.
D. chịutácđộngmạnhcủacácthiêntainhưbão, cátchảy, cát bay.
Câu 73:Phần lãnh thổ phía Bắc nước ta có biên độ nhiệt độ năm lớn, chủ yếu do tác động của
A. vùng biển rộng, thời gian Mặt Trời lên thiên đỉnh, nằm xa xích đạo.
B. thời gian Mặt Trời lên thiên đỉnh, gió mùa đông Bắc, gần xích đạo.
C. gió mùa Đông Bắc, gần đường chí tuyến Bắc, độ cao và hướng núi.
D. nằm gần vùng xích đạo, gió Tây Nam, địa hình chủ yếu đồi núi cao.
Câu 74:Hoạt động nuôi trồng thủy sản nước ta hiện nay
A. chủ yếu phục vụ cho xuất khẩu. B.tập trung nuôi nhiều tôm, cua.
C. phát triển theo hướng hàng hóa. D. tăng cường đánh bắt xa bờ.
Đề thi thử tốt nghiệp THPT Quốc gia năm 2023 môn Địa lần 1 trường THPT Hồng Lĩnh, Hà Tĩnh
Đề thi thử THPT Quốc gia năm 2023 môn Địa lần 1 trường THPT Hồng Lĩnh, Hà Tĩnh được VnDoc.com sưu tầm và xin gửi tới bạn đọc cùng tham khảo. Đề thi được tổng hợp gồm có 40 câu hỏi trắc nghiệm có đáp án kèm theo. Thí sinh làm bài trong thời gian 50 phút. Mời các bạn cùng làm đề thi dưới đây nhé.
Ngoài ra để giúp bạn đọc có thêm tài liệu học tập hơn nữa, VnDoc.com mời bạn đọc cùng đặt câu hỏi tại mục Thi THPT Quốc gia 2023.