Bộ đề thi giữa học kì 2 lớp 6 năm 2018 - 2019 đầy đủ các môn
Bộ đề thi giữa học kì 2 lớp 6 năm 2018 - 2019
Bộ đề thi giữa học kì 2 lớp 6 năm 2018 - 2019 đầy đủ các môn bao gồm bộ đề thi đầy đủ các môn: Toán, Văn, Vật lý, Địa lý, Lịch sử, Sinh học, GDCD có đáp án chi tiết cho từng đề thi giúp các em học sinh ôn tập, củng cố kiến thức chuẩn bị cho các bài thi giữa học kì 2. Đồng thời đây là tài liệu cho các thầy cô tham khảo ra đề cho các em học sinh.
Bộ đề thi giữa học kì 2 lớp 6 mới nhất: 2019 - 2020
- Bộ đề thi giữa học kì 2 lớp 6 năm 2019 - 2020 đầy đủ các môn
- Đề thi giữa học kì 2 lớp 6 môn Toán năm 2019 - 2020
- Đề thi giữa học kì 2 lớp 6 môn Ngữ văn năm 2019 - 2020
- Đề thi giữa học kì 2 môn Vật lý lớp 6 năm 2019 - 2020
- Đề thi giữa học kì 2 môn Lịch sử lớp 6 năm 2019 - 2020
- Đề thi giữa học kì 2 môn Địa lý lớp 6 năm 2019 - 2020
- Đề thi giữa học kì 2 môn Sinh học lớp 6 năm 2019 - 2020
Đề kiểm tra giữa học kì 2 môn Ngữ văn lớp 6
Phần I: Đọc - hiểu (4,0 điểm)
Đọc đoạn văn sau và trả lời các câu hỏi ở dưới:
“Xa quá khỏi Hòn một đỗi là bãi Tre. Thấp thoáng những cây tre đằng ngà cao vút, vành óng, những cây tre lâu nay vẫn đứng đấy, bình yên và thanh thản, mặc cho bao nhiêu năm tháng đã đi qua, mặc cho bao nhiêu gió mưa đã thổi tới. Sau rặng tre ấy, biển cả còn lâu đời hơn, vẫn đang giỡn sóng, mang một màu xanh lục”.
(“Phong cảnh Hòn Đất” - Anh Đức, SGK tiếng Việt lớp 5, tập I)
Câu 1. (1,0 điểm) Nêu nội dung của đoạn văn?
Câu 2. (0,5 điểm) Đoạn văn trên tác giả sử dụng biện pháp tu từ gì?
Câu 3. (1,5 điểm) Nêu tác dụng của biện pháp tu từ đó trong đoạn văn?
Câu 4. (1,0 điểm) Từ đoạn văn, em hãy nêu những việc cần làm để góp phần giữ gìn, bảo vệ thiên nhiên?
Phần II: Tạo lập văn bản (6,0 điểm)
Xuân đến thay áo mới cho đất trời, mang niềm vui đi khắp nhân gian. Em hãy tả cảnh ngày xuân tại khu phố hay thôn xóm nơi mình đang ở.
>> Tham khảo: Đề kiểm tra 1 tiết học kì 2 môn Ngữ Văn lớp 6
Đáp án: Đề kiểm tra giữa học kì 2 môn Ngữ văn lớp 6
|
Phần/ Câu |
Đáp án |
Điểm |
|
Phần I Câu 1 (1,0 điểm) |
Nội dung của đoạn văn: vẻ đẹp của cảnh vật ở Hòn Đất. Hoặc: vẻ đẹp của tre đằng ngà và biển cả ở Hòn Đất. |
1,0
|
|
Câu 2 (0,5 điểm) |
- Biện pháp tu từ: nhân hóa. - Đó là các hình ảnh “những cây tre lâu nay vẫn đứng đấy, bình yên và thanh thản”; (biển cả) “vẫn đang giỡn sóng”. Lưu ý: nếu học sinh chỉ nêu BPTT nhân hóa mà không chỉ ra được các hình ảnh có biện pháp tu từ này, giám khảo cho 0,25 điểm. |
0,5 |
|
Câu 3 (1,5 điểm) |
Tác dụng của biện pháp tu từ nhân hóa: |
|
|
- Làm cho câu văn sinh động. |
0,25 |
|
|
- Giúp chúng ta hình dung rõ nét về vẻ đẹp của tre, của biển cả: sự bền bỉ, kiên cường, dẻo dai, anh dũng trước mọi thử thách của thời gian. Đây cũng chính là vẻ đẹp của con người nơi đây. |
0,75 |
|
|
- Bộc lộ tình cảm yêu mến, gắn bó, trân trọng, tự hào của nhà văn đối với cảnh vật và con người nơi đây. |
0,5 |
|
|
Câu 4 (1,0 điểm) |
Những việc cần làm để góp phần giữ gìn, bảo vệ thiên nhiên: Học sinh có thể có những cách diễn đạt khác nhau nhưng phải hợp lý; giám khảo tham khảo những gợi ý sau để đánh giá câu trả lời: |
|
|
- Tham gia “Tết trồng cây”. |
0,25 |
|
|
- Bảo vệ, chăm sóc cây xanh ở trường lớp, nơi cư trú,... |
0,25 |
|
|
- Lên án, phê phán việc chặt, đốt, phá rừng, vứt rác bừa bãi; việc xả nước thải không đúng quy định. |
0,25 |
|
|
- Tuyên truyền, chia sẻ về vai trò, tầm quan trọng của thiên nhiên đối với cuộc sống. |
0,25 |
|
|
Phần II
(6,0 điểm)
|
Lưu ý phần II: Tạo lập văn bản - Học sinh có thể có nhiều cách diễn đạt khác nhau, giám khảo phải linh hoạt đánh giá đúng bài làm của học sinh. - Học sinh miêu tả sinh động, giàu cảm xúc, lời văn trôi chảy, mạch lạc; toát lên vẻ đẹp và nét đặc trưng của mùa xuân: cho điểm tối đa mỗi ý. - Học sinh miêu tả về cảnh ngày xuân nhưng chung chung, khô khan; mắc lỗi về diễn đạt, trình bày ý: giám khảo căn cứ vào yêu cầu và thực tế bài làm của học sinh để cho điểm phù hợp. - Bài viết lạc sang kiểu văn bản khác (tự sự,…) cho 1,0 điểm. |
|
|
* Yêu cầu chung: - Về kiến thức: Miêu tả khung cảnh ngày xuân tại khu phố hay thôn xóm nơi mình đang ở. Đảm bảo trình tự miêu tả hợp lý; khi miêu tả đan xen yếu tố tự sự và biểu cảm; bộc lộ chân thành, sinh động cảm xúc của người tả. - Về kĩ năng: + Bài viết thể hiện đúng đặc trưng của kiểu văn bản miêu tả: sử dụng phương thức biểu đạt chính là miêu tả kết hợp yếu tố tự sự và biểu cảm để bài văn miêu tả sinh động, hấp dẫn, gợi cảm. + Bài viết có bố cục rõ ràng, đầy đủ ba phần. + Văn viết trôi chảy, mạch lạc, chữ viết sạch đẹp, không sai chính tả. |
||
|
* Yêu cầu cụ thể: |
||
|
1. Mở bài: Dẫn dắt, giới thiệu về đối tượng miêu tả. |
0,5 điểm |
|
|
2. Thân bài: Tả theo trình tự hợp lí. Học sinh có thể lựa chọn trình tự miêu tả khác nhau, miễn là hợp lí. Có thể theo trình tự sau: |
5,0 điểm |
|
|
- Bầu trời: |
0,5 |
|
|
- Thời tiết, khí hậu: ấm áp, những tia nắng xuân,.. |
1,0 |
|
|
- Thiên nhiên: cỏ cây, hoa lá, dòng sông, cánh đồng, các loài chim, làn gió xuân,… |
2,5 |
|
|
- Lễ hội mùa xuân: … |
0,5 |
|
|
- Con người: hân hoan, rạng rỡ, phấn chấn,… |
0,5 |
|
|
3. Kết bài. Nêu cảm xúc về mùa xuân, những mong muốn, liên tưởng. |
0,5 điểm |
>> Tham khảo chi tiết: Đề thi giữa học kì 2 môn Ngữ văn lớp 6 năm học 2018 - 2019
Đề thi giữa học kì 2 môn Toán lớp 6
Câu 1 (1,0 điểm).
a) Tìm các ước của -12
b) Tìm 5 bội của -4
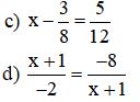
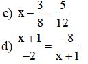
Câu 2 (2 điểm). Tìm x biết
a) x - 15 = 11 - (-32)
b) 13 - (5 - x) = 7

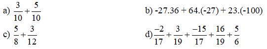
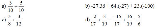
Câu 3 (1,5 điểm). Rút gọn rồi quy đồng các phân số sau:

Câu 4 (2,0 điểm). Tính

Câu 5 (3,0 điểm):
Trên cùng một nửa mặt phẳng có bờ là tia Ox vẽ tia Oy và tia Oz sao cho góc xOy có số đo là 60o, góc xOz có số đo là 120o.
a) Trong ba tia Ox, Oy ,Oz tia nào nằm giữa hai tia còn lại? Vì sao?
b) So sánh góc xOy và góc yOz
c) Chứng tỏ rằng tia Oy là tia phân giác của góc xOz.
Câu 6 (0,5 điểm):
Cho
.
Chứng tỏ rằng A < 1.
>> Tham khảo chi tiết đề thi, đáp án: Đề thi giữa học kì 2 môn Toán lớp 6 năm học 2018 - 2019
Đề kiểm tra giữa học kì 2 môn Vật lý lớp 6
A. TRẮC NGHIỆM: (5 điểm)
Khoanh tròn vào chữ cái đứng trước câu trả lời mà em cho là đúng:
Câu 1. Trong các câu sau, câu nào là không đúng?
A. Ròng rọc cố định có tác dụng làm thay đổi hướng của lực.
B. Ròng rọc cố định có tác dụng làm thay đổi độ lớn của lực.
C. Ròng rọc động có tác dụng làm thay đổi độ lớn của lực.
D. Ròng rọc động không có tác dụng làm thay đổi hướng của lực.
Câu 2. Hệ thống ròng rọc như hình 1 có tác dụng:

A. đổi hướng của lực kéo.
B. giảm độ lớn của lực kéo.
C. thay đổi trọng lượng của vật.
D. thay đổi hướng và giảm độ lớn của lực kéo.
Câu 3. Muốn lực nâng vật lên nhỏ hơn trọng lượng của vật thì OO1 (khoảng cách từ điểm tựa tới điểm tác dụng của trọng lượng vật) và OO2 (khoảng cách từ điểm tựa tới điểm tác dụng của lực kéo) phải thõa mãn điều kiện nào sau đây?
A. OO1 > OO2
B. OO1 = OO2
C. OO1 < OO2
D. OO1 và OO2 không liên quan gì với nhau.
Câu 4. Khi nói về sự dãn nở vì nhiệt của các chất, câu kết luận không đúng là:
A. Chất rắn nở ra khi nóng lên, co lại khi lạnh đi.
B. Chất lỏng nở ra khi nóng lên, co lại khi lạnh đi.
C. Chất khí nở ra khi nóng lên, co lại khi lạnh đi.
D. Chất rắn nở vì nhiệt nhiều hơn chất lỏng.
Câu 5. Nguyên tắc cấu tạo và hoạt động của nhiệt kế dùng chất lỏng dựa trên:
A. sự dãn nở vì nhiệt của chất lỏng.
B. sự dãn nở vì nhiệt của chất rắn.
C. sự dãn nở vì nhiệt của chất khí.
D. sự dãn nở vì nhiệt của các chất.
Câu 6. Nhiệt độ cao nhất ghi trên nhiệt kế y tế là:
A. 100oC
B. 42oC
C. 37oC
D. 20oC
Câu 7. Câu phát biểu nào sau đây không đúng?
A. Nhiệt kế y tế dùng để đo nhiệt độ cơ thể người.
B. Nhiệt kế thuỷ ngân thường dùng để đo nhiệt độ trong các thí nghiệm.
C. Nhiệt kế rượu thường dùng để đo nhiệt độ của nước đang sôi.
D. Nhiệt kế rượu thường dùng để đo nhiệt độ của khí quyển.
Câu 8. Trong các cách sắp xếp các chất nở vì nhiệt từ nhiều tới ít sau đây, cách sắp xếp nào là đúng?
A. Rắn, lỏng, khí.
B. Rắn, khí, lỏng.
C. Khí, lỏng, rắn.
D. Khí, rắn, lỏng.
Câu 9. Khi nung nóng 3 chất khí sau: không khí, khí ôxi, hơi nước. Kết luận nào sau đây là đúng?
A. Không khí nở vì nhiệt nhiều nhất.
B. Không khí, khí ôxi và hơi nước nở vì nhiệt khác nhau.
C. Hơi nước nở vì nhiệt ít nhất.
D. Không khí, khí ôxi và hơi nước nở vì nhiệt như nhau.
Câu 10. Tại sao ở chỗ tiếp nối hai đầu thanh ray đường tàu hỏa lại có để một khe hở?
A. Vì không thể hàn hai thanh ray được.
B. Vì để lắp các thanh ray được dễ dàng hơn.
C. Để khi nhiệt độ tăng, thanh ray dễ dàng dài ra mà không bị ngăn cản.
D. Vì chiều dài của thanh ray không đủ.
B. TỰ LUẬN (5 điểm)
Câu 11 (1 điểm). Dùng ròng rọc có lợi gì?
Câu 12 (1,5 điểm). Nêu kết luận về sự nở vì nhiệt của chất rắn và chất lỏng?
Câu 13 (1,5 điểm). Tại sao quả bóng bàn đang bị bẹp, khi nhúng vào nước nóng lại có thể phồng lên như cũ?
Câu 14 (1 điểm). Một lọ thủy tinh được đậy bằng nút thủy tinh. Nút bị kẹt không lấy ra được. Dựa trên những kiến thức đã được học về sự nở vì nhiệt của các chất, em hãy đề ra phương án lấy nút thủy tinh ra khỏi lọ và giải thích tại sao lại làm như vậy?
Đáp án: Đề kiểm tra giữa học kì 2 môn Vật lý lớp 6
1. TRẮC NGHIỆM: 5 điểm. Mỗi đáp án đúng cho 0,5 điểm
|
Câu hỏi |
1 |
2 |
3 |
4 |
5 |
6 |
7 |
8 |
9 |
10 |
|
Đáp án |
B |
D |
C |
D |
A |
B |
C |
C |
D |
C |
2. TỰ LUẬN: 5 điểm
|
Câu 11. 1 điểm. - Ròng rọc cố định giúp làm thay đổi hướng của lực kéo so với khi kéo trực tiếp. - Ròng rọc động giúp làm lực kéo vật lên nhỏ hơn trọng lượng của vật. |
0,5 điểm
0,5 điểm |
|
Câu 12: 1,5 điểm. - Chất rắn nở ra khi nóng lên, co lại khi lạnh đi. Các chất rắn khác nhau nở vì nhiệt khác nhau. - Chất lỏng nở ra khi nóng lên, co lại khi lạnh đi. Các chất lỏng khác nhau nở vì nhiệt khác nhau. |
0,75 điểm
0,75 điểm
|
|
Câu 13: 1,5 điểm. - Khi nhúng quả bóng bàn bị bẹp vào nước nóng, không khí trong quả bóng nóng lên, nở ra làm cho quả bóng phồng lên như cũ. |
1,5 điểm |
|
Câu 14: 1 điểm. - Có thể hơ nóng cổ lọ. - Vì khi hơ nóng cổ lọ thì cổ lọ nở ra nên có thể mở được nút. |
0,5 điểm 0,5 điểm |
>> Tham khảo chi tiết: Đề thi giữa học kì 2 môn Vật lý lớp 6 năm 2018 - 2019
Đề kiểm tra giữa học kì 1 môn Sinh học lớp 6
I. Chọn các từ hoặc các cụm từ: nước nở hoa, khí ôxi, làm thuốc, thức ăn hoàn thành vào các chỗ trống sau (1,0 điểm):
Vai trò của tảo: cung cấp (1)..…………………… và (2) ……………………..cho động vật ở nước. Một số tảo cũng được dùng làm thức ăn cho người và gia súc, (3)………………………...Bên cạnh đó tảo cũng có thể gây hại: một số tảo đơn bào sinh sản quá nhanh gây hiện tượng (4)…………………............................., khi chết làm cho nước bị nhiễm bẩn làm chết cá.
II. Khoanh tròn câu trả lời đúng nhất (1,5 điểm):
1. Quả nào sau đây là quả hạch?
A. Quả táo
B. Quả chò
C. Quả chanh
D. Quả đu đủ
2. Quả nào sau đây được phát tán nhờ gió?
A. Quả đậu bắp
B. Quả chò
C. Quả ké đầu ngựa
D. Quả cải
3. Rêu sinh sản bằng bộ phận nào sau đây?
A. Túi bào tử
B. Hoa
C. Bào tử
D. Hạt
4. Làm thế nào để nhận biết một cây thuộc Dương xỉ?
A. Cơ thể có rễ, thân, lá thật sự
B. Cây có hoa, có quả
C. Lá có màu nâu, có bào tử
D. Lá non cuộn tròn ở đầu
5. Đặc điểm nào sau đây là một ưu thế của các cây Hạt kín?
A. Hạt nằm trong quả
B. Có mạch dẫn
C. Có rễ thân, lá thật
D. Có hoa, quả
6. Đặc điểm chủ yếu để phân biệt giữa lớp Hai lá mầm và lớp Một lá mầm là gì?
A. Số cánh hoa
B. Số lá mầm của phôi
C. Kiểu rễ
D. Dạng thân của cây
III. Hãy chú thích hình vẽ “cây có hoa” sau (1,5 điểm):

1. ……………………………………………
2. …………………………………………….
3. …………………………………………….
4. …………………………………………….
5. …………………………………………….
6. …………………………………………….
IV. Tự luận (6,0 điểm):
1. Hạt gồm những bộ phận nào? Phôi của hạt gồm những bộ phận nào? Chất dinh dưỡng dự trữ của hạt chứa ở đâu? (2,0 điểm)
2. Hãy trình bày cơ quan sinh sản của cây thông? (1,5 điểm)
3. Ở một tiết học, trong giờ thảo luận các nhóm đang phân loại cây nào thuộc lớp 1 lá mầm, cây nào thuộc lớp 2 lá mầm. Bạn An nói: “cây rau má thuộc lớp 1 lá mầm’’ còn bạn Bình nói: “cây rau má thuộc lớp 2 lá mầm’’. Theo em bạn nào đúng? Em hãy nêu những đặc điểm để phân biệt đặc điểm Lớp 1 lá mầm và Lớp 2 lá mầm?(2,5 điểm)
|
ĐẶC ĐIỂM |
LỚP 1 LÁ MẦM |
LỚP 2 LÁ MẦM |
|
Kiểu rễ |
||
|
Dạng thân |
||
|
Kiểu gân lá |
||
|
Số cánh hoa |
||
|
Số lá mầm của phôi |
||
|
Ví dụ (2 cây) |
>> Tham khảo chi tiết đề thi, đáp án: Đề thi giữa học kì 2 môn Sinh học lớp 6 năm 2018 - 2019
Đề thi giữa học kì 2 môn GDCD lớp 6
I- Trắc nghiệm (5,5 điểm)
Khoanh tròn chỉ một chữ cái trước câu trả lời đúng.
Câu 1: Nguyên nhân tai nạn giao thông là vì:
A. Do ý thức của một số người tham gia giao thông chưa tốt.
B. Phương tiện tham gia giao thông ngày càng nhiều.
C. Dân số tăng nhanh
D. Tất cả các đáp án trên
Câu 2: Biển báo nguy hiểm:
A. Có dạng hình tam giác đều, viền đỏ, nền vàng, hình vẽ màu đen.
B. Có dạng hình tròn, viền đỏ, nền trắng, hình vẽ màu đen.
C. Có dạng hình vuông hoặc hình chữ nhật, nền xanh, hình vẽ màu trắng.
D. Có dạng hình vuông hoặc hình chữ nhật, viền đen, nền trắng, hình vẽ màu đen.
Câu 3: Hành vi nào dưới đây không biểu hiện của lòng yêu hòa bình?
A. Tham gia giao lưu văn nghệ với trường bạn
B. Dùng vũ lực giải quyết mọi mâu thuẫn.
C. Giao lưu với thanh, thiếu niên quốc tế
D. Nhường nhịn giúp đỡ người nào ủng họ
Câu 4: Hành vi nào dưới đây là biểu hiện của lòng yêu hòa bình?
A. Nói xấu, gây gổ với các bạn trong lớp.
B. Phân biệt và kì thị với học sinh nghèo.
C. Thông cảm chia sẻ với mọi người.
D. Ép buộc người khác theo ý mình.
Câu 5: Hành vi nào sau đây thể hiện lòng yêu hòa bình?
A. Không cần lắng nghe ý kiến của người khác.
B. Phân biệt đối xử giữa các dân tộc
C. Từ chối tham gia các hoạt động giao lưu văn hóa.
D. Tôn trọng thông cảm với mọi người.
Câu 6: Biển báo cấm
A.Có dạng hình tam giác đều, viền đỏ, nền vàng.
B. Có dạng hình tròn, viền đỏ, nền trắng, hình vẽ màu đen.
C. Có dạng hình tròn, viền đỏ, nền trắng, hình vẽ màu vàng.
D. Có dạng hình vuông hoặc hình chữ nhật, viền đen, nền trắng.
Câu 7: Khái niệm “đường bộ” được hiểu như thế nào là đúng?
A. Đường, cầu đường bộ.
B. Hầm đường bộ, bế phà đường bộ
C. Đường, cầu đường bộ, hầm đường bộ, bế phà đường bộ và các công trình khác.
D. Tất cả A, B.
Câu 8: Vạch kẻ đường là?
A. Vị trí dừng và vị trí trên đường
B. Vạch chỉ vị trí hướng đi là vị trí dừng
C. Vạch chỉ phân chia làn đường, vị trí hướng đi, vị trí dừng lại.
D. A, B đúng.
Câu 9: Ý kiến nào dưới đây thể hiện lòng yêu hòa bình?
A. Chiều theo ý kiến của người khác sẽ tránh được mâu thuẫn.
B. Mâu thuẫn nào cũng có thể thương lượng để giải quyết.
C. Sống khép mình mới tránh được xung đột.
D. Chỉ cần thân thiện với những người có quan hệ thân thiết với mình.
Câu 10: Hành vi thể hiện yêu hòa bình?
A. Hằng luôn luôn tôn trọng bạn bè, lắng nghe và đối xử thân thiện với mọi người.
B. Thái bố trí thời gian hợp lý để vừa học tốt bài vừa giúp đỡ cha mẹ việc nhà.
C. Anh Thanh tìm tòi cải tiến làn điệu dân ca của dân tộc mình để hấp dẫn người nghe hơn.
D. Anh Thành tìm tòi cải biên các làn điệu dân ca.
Câu 11: Con vật nào sau đây là biểu tượng của hòa bình?
A. Bồ câu
B. Hải âu
C. Bồ nông
D. Đại bàng
Câu 12: Bảo vệ hòa bình, chống chiến tranh là trách nhiệm của?
A. Những nhà lãnh đạo của các quốc gia.
B. Các quốc gia đang xảy ra chiến tranh.
C. Tất cả các quốc gia, các dân tộc và toàn nhân loại.
D. Các nước lớn trên thế giơi.
Câu 13: Vì sao chúng ta phải bảo vệ hòa bình, ngăn ngừa chiến tranh?
A. Đem lại cuộc sống bình yên, tự do.
B. Đời sống ấm no, hạnh phúc.
C. Khát vọng của nhân loại.
D. Tất cả các đáp án trên.
Câu 14: Bảo vệ hòa bình, chống chiến tranh là trách nhiệm của?
A. Những nước có nền kinh tế phát triển.
B. Những cường quốc về quân sự.
C. Những tổ chức quân sự trên thế giới.
D. Toàn nhân loại.
Câu 15: Hành vi nào dưới đây là biểu hiện của lòng yêu hòa bình?
A. Dùng vũ lực để giải quyết các mâu thuẫn.
B. Phân biệt đối xử giữa các dân tộc, quốc gia khác.
C. Tôn trọng nền văn hóa các dân tộc, quốc gia khác.
D. Thực hiện xâm lược nước khác.
Câu 16: Trách nhiệm của nhân loại trong việc bảo vệ hòa bình?
A. Ngăn chặn chiến tranh bảo vệ hòa bình.
B. Chống các cuộc biểu tình
C. Thể hiện mọi lúc, mọi nơi trong mối quan hệ giao tiếp hàng ngày.
D. Cả A, B, C đúng
Câu 17: Yêu hòa bình là:
A. Đoàn kết các dân tộc
B. Lắng nghe, tôn trọng ý kiến người khác
C. Biểu tình chống chiến tranh.
D. Cả A, B, C đúng
Câu 18: Chiến tranh chính nghĩa là các nước tiến hành?
A. Chiến tranh chống xâm lược.
B. Bảo vệ độc lập tự do.
C. Bảo vệ hòa bình bằng mọi cách.
D. A, B đúng.
Câu 19: Hành vi nào dưới đây là biểu hiện của lòng yêu hòa bình?
A. Nói xấu, gây gổ với các bạn trong lớp.
B. Phân biệt và kì thị với học sinh nghèo.
C. Thông cảm chia sẻ với mọi người.
D. Ép buộc người khác theo ý mình.
Câu 20: Hành vi nào dưới đây không biểu hiện của lòng yêu hòa bình?
A. Tham gia giao lưu văn nghệ với trường bạn
B. Dùng vũ lực giải quyết mọi mâu thuẫn.
C. Giao lưu với thanh, thiếu niên quốc tế
D. Nhường nhịn giúp đỡ người nào ủng họ mình
Câu 21: Hành vi nào sau đây thể hiện lòng yêu hòa bình?
A. Không cần lắng nghe ý kiến của người khác.
B. Phân biệt đối xử giữa các dân tộc
C. Từ chối tham gia các hoạt động giao lưu văn hóa.
D. Tôn trọng thông cảm với mọi người.
Câu 22: Hành vi nào dưới đây không biểu hiện của lòng yêu hòa bình?
A. Tôn trọng nền văn hóa của các dân tộc.
B. Phân biệt đối xử giữa các dân tộc.
C. Thân thiện với người nước ngoài.
D. Tham gia các hoạt động giao lưu văn nghệ
II- Tự luận(4,5 điểm)
Câu 23: (2,5 điểm): Nêu những quy định về đi đường của người đi bộ và người đi xe đạp?
Câu 24:(2đ): Trình bày quy định về đường đi
>> Tham khảo chi tiết đề thi, đáp án: Đề thi giữa học kì 2 môn Địa lý lớp 6 năm 2018 - 2019
Đề kiểm tra giữa học kì 2 môn Lịch sử
I. Trắc nghiệm (2 điểm)
Câu 1 (1 điểm) Hãy khoanh tròn vào chỉ một chữ cái in hoa đứng trước câu trả lời đúng.
Câu 1. Giai đoạn lịch sử nước ta từ năm 179 TCN đến thế kỉ X gọi là:
A. Nửa đầu thời kì Bắc thuộc.
B. Nửa cuối thời kì Bắc thuộc.
C. Thời kì Bắc thuộc.
D. Thời kì tự chủ .
Câu 2. Hai thứ thuế bị nhà Hán đánh thuế nặng nhất là gì?
A. Thuế rượu và thuế muối.
B. Thuế chợ và thuế đất.
C. Thuế muối và thuế sắt.
D. Thuế ruộng và thuế thân.
Câu 3. Chính sách cai trị nước ta của các triều đại phong kiến phương Bắc là:
A. Giảm thuế và chia ruộng đất cho nhân dân.
B. Không muốn đồng hóa dân tộc ta.
C. Rất tàn bạo, thâm độc, đẩy nhân dân ta vào cảnh cùng quẫn về mọi mặt.
D. Tạo đời sống ấm no cho nhân dân ta.
Câu 4. Hai Bà Trưng dựng cờ khởi nghĩa ở:
A. Cẩm Khê.
B. Mê Linh.
C. Phú Điền.
D. Hát Môn.
Câu 2 (1 điểm):
Điền vào chỗ trống các từ hoặc cụm từ sau cho đúng với lời nói của Bà Triệu Thị Trinh( Nô lệ, cơn gió mạnh, quân Ngô, luồng sóng dữ)
“ Tôi muốn cưỡi …………………….đạp…………………………..chém cá kình ở biển khơi, đánh đuổi……………………….,cởi ách…………………, đâu chịu khom lưng làm tì thiếp cho người”.
II. Tự luận (8đ)
Câu 1: Hai Bà Trưng đã làm gì sau khi giành được độc lập? (2đ)
Câu 2: Trong thời Bắc thuộc, vì sao người Việt vẫn giữ được phong tục, tập quán và tiếng nói riêng? (2đ)
Câu 3: Cuộc khởi nghĩa của Lý Bí và sự thành lập nước Vạn Xuân diễn ra như thế nào? Việc đặt tên nước là Vạn Xuân có ý nghĩa gì? (4đ)
Đáp án đề thi giữa học kì 2 lớp 6 môn Sử
I. Trắc nghiệm (2 điểm)
Câu 1 (1 điểm): Mỗi ý đúng 0,25 điểm
1. C ; 2. C; 3.C; 4. B
Câu 2 (1 điểm): Mỗi ý đúng 0,25 điểm
Điền lần lượt là:
- Cơn gió mạnh.
- Luồng sóng dữ.
- Quân Ngô.
- Nô lệ.
II. TỰ LUẬN (8đ)
Câu 1 (2 điểm):
Sau khi dành độc lập Hai Bà Trưng đã:
-Trưng Trắc lên làm vua ( Trưng Vương) đóng đô ở Mê Linh và phong chức tước cho người có công, lập lại chính quyền.(1đ)
- Trưng Vương xóa thuế 2 năm liền cho dân. (0,5đ).
- Bãi bỏ luật pháp hà khắc và các thứ lao dịch nặng nề của chính quyền đô hộ. (0,5đ)
Câu 2 (2 điểm):
Trong thời kì Bắc thuộc nhân dân ta vẫn giữ được phong tục,tập quán và tiếng nói riêng vì những phong tục, tập quán và tiếng nói đã được ông cha ta xây dựng nên từ lâu đời, đã ăn sâu vào đời sống người Việt. Nhân dân ta rất yêu nước, không chịu để kẻ xâm lược biến mình thành người Hán.(2đ)
Câu 3 (4 điểm):
- Mùa xuân 542, Lí Bí khởi nghĩa ở Thái Bình được nhân dân ủng hộ , nghĩa quân nhanh chóng chiếm hầu hết các quận huyện. Thứ sử Tiêu Tư phải chạy về Trung Quốc.
- 4/542 quân Lương đàn áp nhưng bị Lí Bí đánh bại, nghĩa quân giải phóng thêm Hợp Phố.
- Đầu 543 quân Lương lại tấn công bị ta mai phục ở Hợp Phố, quân giặc đại bại.
- Năm 544 Lí Bí lên ngôi Hoàng đế, đặt tên nước là Vạn Xuân, đóng đô ở Tô Lịch (Hà Nội)
- Lí Bí đặt tên nước ta là Vạn Xuân với mong muốn đất nước sẽ mãi tự do, tươi đẹp như một vạn mùa xuân.
Tham khảo đề ôn tập giữa học kì 2 lớp 6
Ngoài Đề kiểm tra giữa học kì 2 lớp 6 có đáp án chi tiết mới nhất trên, các em học sinh tham khảo các bài giải SGK môn Toán lớp 6, Môn Ngữ văn 6, Môn Vật lý 6, môn Sinh Học 6, môn Địa lý lớp 6, môn Lịch sử lớp 6....và các đề thi học kì 2 lớp 6 để chuẩn bị cho các bài thi đề thi học kì 2 đạt kết quả cao.