Giải bài tập SBT Vật lý 11 bài 33
Vật lý 11 - Kính hiển vi
VnDoc xin giới thiệu tới bạn đọc tài liệu Giải bài tập SBT Vật lý 11 bài 33, hy vọng qua bộ tài liệu các bạn học sinh sẽ học tập tốt hơn môn Vật lý. Mời các bạn học sinh và thầy cô cùng tham khảo chi tiết bài viết dưới đây nhé.
- Giải bài tập SBT Vật lý 11 bài 29
- Giải bài tập SBT Vật lý 11 bài 30
- Giải bài tập SBT Vật lý 11 bài 31
- Giải bài tập SBT Vật lý 11 bài 32
Giải bài tập SBT Vật lý 11 bài 33 Kính hiển vi vừa được VnDoc.com sưu tập và xin gửi tới bạn đọc cùng tham khảo. Bài viết được tổng hợp gồm có lời giải của 8 bài tập trong sách bài tập môn Vật lý lớp 11 bài kính hiển vi. Qua bài viết bạn đọc có thể thấy được cách điều khiển kính hiển vi, khái niệm kính hiển vi, cấu tạo của kính hiển vi, cách tính khoảng cách nhỏ nhất giữa hai điểm của vật mà người quan sát còn phân biệt được khi ngắm chừng ở vô cực... Mời các bạn cùng tham khảo chi tiết và tải về tại đây nhé.
Bài tập SBT Vật lý 11 bài 33
Bài 33.1 trang 89 Sách bài tập (SBT) Vật lý 11
Ghép mỗi nội dung ở cột bên trái với nội dung tương ứng ở cột bên phải để có một phát biểu đầy đủ và đúng.
|
1. Kính hiển vi là quang cụ hỗ trợ cho mắt có 2. Vật kính của kính hiển vi có thể coi là một thấu kính hội tụ có 3. Thị kính của kính hiển vi cũng là một thấu kính hội tụ có 4. Độ dài quang học của kính hiển vi là khoảng cách |
a) từ tiêu điểm ảnh chính F của vật kính đến tiêu điểm vật chính của thị kính. b) độ tụ rất lớn khoảng hàng trăm điôp. c) số bội giác lớn hơn rất nhiều so với số bội giác của kính lúp. d) tiêu cự vài xentimét và có vai trò của kính lúp. e) giữa hai quang tâm của vật kính và thị kính. |
Trả lời:
1 – c; 2 – b; 3 – d; 4 – a
Bài 33.2 trang 89 Sách bài tập (SBT) Vật lý 11
Khi điều chỉnh kính hiển vi, ta thực hiện cách nào sau đây?
A. Dời vật trước vật kính.
B. Dời ống kính (trong đó vật kính và thị kính được gắn chặt) trước vật.
C. Dời thị kính so với vật kính.
D. Dời mắt ở phía sau thị kính.
Trả lời:
Đáp án B
Bài 33.3 trang 89,90 Sách bài tập (SBT) Vật lý 11
Trong trường nào thì góc trông ảnh của vật qua kính hiển vi có trị số không phụ thuộc vị trí mắt sau thị kính?
A. Ngắm chừng ở điểm cực cận.
B. Ngắm chừng ở điểm cực viễn nói chung.
C. Ngắm chừng ở vô cực.
D. Không có (góc trông ảnh luôn phụ thuộc vị trí mắt).
Trả lời:
Đáp án C
Bài 33.4; 33.5; 33.6 trang 90 Sách bài tập (SBT) Vật lý 11
33.4. Số bội giác của kính hiển vi ngắm chừng ở vô cực có (các) tính chất nào sau đây?
A. Tỉ lệ thuận với tiêu cự vật kính.
B. Tỉ lệ thuận với tiêu cự thị kính.
C. Tỉ lệ thuận với độ dài quang học của kính.
D. Các kết luận A, B, C đều đúng.
Trả lời:
Đáp án C
33.5. Trên vành vật kính và thị kính của kính hiển vi thường có ghi các con số. Nêu ý nghĩa của các con số này:
|
Vật kính |
Thị kính |
|
|
A. |
Số phóng đại ảnh |
Tiêu cự |
|
B. |
Số phóng đại ảnh |
Số bội giác ngắm chừng ở vô cực |
|
C. |
Tiêu cự |
Số phóng đại ảnh |
|
D. |
Tiêu cự |
Độ tụ |
Trả lời:
Đáp án B
33.6. Kính hiển vi có f1 = 5 mm ; f2 = 2,5 cm ; d = 17 cm. Người quan sát có OCc = 20 cm. Số bội giác của kính ngắm chừng ở vô cực có trị số là:
A. 170.
B. 272.
C. 340.
D. Khác A, B, C
Trả lời:
Đáp án B
Bài 33.7 trang 90 Sách bài tập (SBT) Vật lý 11
Vật kính và thị kính của một kính hiển vi có tiêu cự lần lượt là f1 = l cm; f2 = 4 cm. Độ dài quang học của kính là d= 15 cm.
Người quan sát có điểm Cc cách mắt 20 cm và điểm Cv ở vô cực.
a) Hỏi phải đặt vật trong khoảng nào trước kính (mắt đặt sát kính)?
b) Năng suất phân li của mắt người quan sát là ε = 1'. Tính khoảng cách nhỏ nhất giữa hai điểm của vật mà người quan sát còn phân biệt được khi ngắm chừng ở vô cực.
Trả lời:
a) Khoảng có thể xê dịch vật MN tương ứng với khoảng CV CC có thể sẽ dịch ảnh.
![]()
d2′=−OCV→∞
d2=f2=4cm
d1′=l−d2=20−4=16cm
d1=16.1/15≈10,67mm
2
d2′=−O2CC=−20cm
d2=20.4/24=10/3cm
d1′=l−d2=20−10/3=50/3cm
d1=100/94≈10,64mm
Vậy Δd = 0,03mm ≈ 30µm.
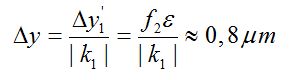
b) Khi ngắm chừng ở vô cực, ảnh A1’B1’ của vật tạo bởi vật kính ở tại tiêu diện vật của thị kính (Hình 33.1G).


Khoảng ngắn nhất trên A1’B1’ mà mắt phân biệt được:
Δy1’ = f2tanε = f2ε
Suy ra khoảng ngắn nhất trên vật:



Bài 33.8 trang 91 Sách bài tập (SBT) Vật lý 11
Kính hiển vi có vật kính L1 tiêu cự f1 = 0,8 cm và thị kính L2 tiêu cự f2 = 2 cm. Khoảng cách giữa hai kính là l = 16 cm.
a) Kính được ngắm chừng ở vô cực. Tính khoảng cách từ vật đến vật kính và số bội giác. Biết người quan sát có mắt bình thường với khoảng cực cận là OCc = 25 cm.
b) Giữ nguyên vị trí vật và vật kính, ta dịch thị kính một khoảng nhỏ để thu được ảnh của vật trên màn đặt cách thị kính 30 cm.
Tính độ dịch chuyển của thị kính, xác định chiều dịch chuyển. Tính số phóng đại ảnh.
Trả lời:
a)

![]()
d2′→∞;d2=f2=2cm
d1′=l−d2=14cm;d1=14.0,8/13,2=0,85cm=8,5mm
G∞=δ.OCC/f1f2=13,2.25/0,8.2≈206
b)
d2′=30cm;d2=30.2/28≈2,14cm>2cm
Dời ra vật kính đoạn Δd2 = 0,14cm = 1,4mm
Số phóng đại ảnh:
k=k1k2=d1/′d1.d2′/d2=230,1
-----------------------------------
Trên đây VnDoc.com đã giới thiệu tới bạn đọc tài liệu: Giải bài tập SBT Vật lý 11 bài 33. Để có kết quả cao hơn trong học tập, VnDoc xin giới thiệu tới các bạn học sinh tài liệu Sinh học lớp 11, Vật lý lớp 11, Hóa học lớp 11, Giải bài tập Toán 11 mà VnDoc tổng hợp và đăng tải.
Mời bạn đọc cùng tham gia nhóm Tài liệu học tập lớp 11 để có thêm tài liệu học tập nhé