Đồng đẳng, đồng phân, danh pháp của Phenol
Lý thuyết Đồng đẳng, đồng phân, danh pháp của Phenol
Đồng đẳng, đồng phân và danh pháp của Phenol là chuyên đề trọng tâm trong chương trình Hóa học 11, giúp học sinh nắm vững cấu tạo, phân loại các đồng đẳng – đồng phân và cách gọi tên chính xác các hợp chất phenol theo danh pháp IUPAC. Đây là nền tảng quan trọng để làm tốt các dạng bài nhận biết, phân biệt và gọi tên trong đề thi THPT Quốc gia.
I. Phương pháp xác định đồng đẳng đồng phân danh pháp của Phenol
1. Khái niệm Phenol
Phenol là những hợp chất hữu cơ trong phân tử có một hay nhiều nhóm hydroxy liên kết trực tiếp với nguyên tử carbon của vòng benzene.
Công thức tổng quát: CnH2n-6O (n ≥ 6)
Chú ý: Phenol đơn giản nhất là C6H5OH có tên là phenol.
+ Tên gọi = số chỉ vị nhánh + tên nhánh + phenol.
+ Cách điều chế phenol và đồng đẳng.
Phenol là những hợp chất hữu cơ trong phân tử có nhóm -OH liên kết trực tiếp với nguyên tử C vòng benzen.
2. Phân loại
Những phenol trong phân tử chứa một nhóm –OH thuộc loại monophenol. Chẳng hạn: phenol, o-cresol, m-cresol, p-cresol.

Nhưng phenol trong phân tử chứa nhiều nhom –OH thuộc loại polyphenol. Chẳng hạn:

3. Đồng phân
+ Công thức tính nhanh: 3n-6 (6 < n < 9)
+ Áp dụng: C7H8O: 37-6 = 3 đồng phân.
II. Bài tập vận dụng liên quan
1. Câu hỏi tự luận
Bài 1: Hãy viết công thức cấu tạo và gọi tên các đồng phân có công thức phân tử C7H8O chứa vòng benzene và có phản ứng với Na.
Đáp án hướng dẫn giải
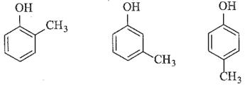
![]() |
o-cresol/ 2 – methylphenol |
![]() |
m-cresol/ 3 – methylphenol |
![]() |
p-cresol/ 4 – methylphenol |
![]() |
Phenylmethanol/benzyl alcohol. |
![]() |
Anisol/ methoxybenzene |
Vậy ứng với công thức phân tử C7H8O có 5 đồng phân dẫn xuất hydrocarbon thơm bao gồm 3 đồng phân phenol; 1 đồng phân alcohol và 1 đồng phân eter.
Bài 2: Hãy xác định công thức cấu tạo của hợp chất hữu cơ X, biết X có công thức phân tử C7H8O, có chứa vòng benzene và phản ứng được với dung dịch NaOH.
Giải thích hiện tượng trong các thí nghiệm trên và viết các phương trình hoá học.
Đáp án hướng dẫn giải
X phản ứng được với dung dịch NaOH nên X thuộc loại hợp chất phenol. Các công thức cấu tạo thỏa mãn là:

2. Câu hỏi trắc nghiệm Phenol
Câu 1. Phenol là hợp chất hữu cơ, trong phân tử có
A. nhóm -OH và vòng benzene.
B. nhóm -OH liên kết trực tiếp với nguyên tử carbon của vòng benzene.
C. nhóm -OH liên kết trực tiếp với nguyên tử carbon no.
D. nhóm -OH liên kết trực tiếp với nguyên tử carbon no và có chứa vòng benzene.
Phenol là hợp chất hữu cơ, trong phân tử có nhóm -OH liên kết trực tiếp với nguyên tử carbon của vòng benzene.
Câu 2. Hợp chất hữu cơ X có chứa vòng benzene, có công thức phân tử là C7H8O. Số đồng phân cấu tạo của X là
A. 2.
B. 3.
C. 4.
D. 5.
Câu 3. Cho các phát biểu sau về phenol:
(1) Phenol tan một phần trong nước ở điều kiện thường.
(2) Phenol tan vô hạn trong nước ở điều kiện thường.
(3) Phenol tan tốt trong nước khi đun nóng.
(4) Nhiệt độ nóng chảy của phenol cao hơn ethanol.
(5) Phenol có tính độc và có thể gây bỏng khi tiếp xúc với da nên cần phải cẩn thận khi sử dụng.
Số phát biểu đúng là
A. 2.
B. 3.
C. 4.
D. 5.
Các phát biểu đúng là
(1) Phenol tan một phần trong nước ở điều kiện thường.
(3) Phenol tan tốt trong nước khi đun nóng.
(4) Nhiệt độ nóng chảy của phenol cao hơn ethanol.
(5) Phenol có tính độc và có thể gây bỏng khi tiếp xúc với da nên cần phải cẩn thận khi sử dụng.
Câu 4. Trong công nghiệp, phenol được điều chế chủ yếu từ chất nào sau đây?
A. Benzene.
B. Cumene.
C. Chlorobenzene.
D. Than đá.
Trong công nghiệp, phenol được điều chế chủ yếu từ cumene.
Câu 5: Phenol không phản ứng với chất nào sau đây?
A. Na.
B. NaOH.
C. NaHCO3.
D. Br2.
Câu 6: Cho các phát biểu sau về phenol:
(a) Phenol vừa tác dụng được với dung dịch NaOH vừa tác dụng được với Na.
(b) phenol tan được trong dung dịch KOH.
(c) Nhiệt độ nóng chảy của phenol lớn hơn nhiệt độ nóng chảy của ethylic alcohol.
(d) phenol phản ứng được với dung dịch KHCO3 tạo CO2.
(e) Phenol là một alcohol thơm.
Trong các trường hợp trên, số phát biểu đúng là
A. 5
B. 2
C. 3
D. 4.
(a) Phenol vừa tác dụng được với dung dịch NaOH vừa tác dụng được với Na.
(b) phenol tan được trong dung dịch KOH.
(c) Nhiệt độ nóng chảy của phenol lớn hơn nhiệt độ nóng chảy của ancol etylic.
Câu 7: Hợp chất hữu cơ X chứa vòng benzene, có công thức phân tử C7H8O, phản ứng được với dung dịch NaOH. Số chất thỏa mãn tính chất trên là
A. 3
B. 1
C. 4
D. 2.
C7H8O có số liên kết π + v = (7.2 − 8+2)/2 = 4 nên C7H8O chỉ chứa 1 vòng benzene
C7H8O tác dụng với NaOH nên có nhóm OH đính trực tiếp vào vòng benzen.
CTCT thỏa mãn là:

Câu 8. Hợp chất hữu cơ X( phân tử chứa vòng benzene) có công thức phân tử là C7H8O2. Khi X tác dụng với Na dư, số mol H2 thu được bằng số mol X tham gia phản ứng. Mặt khác, X tác dụng được với dung dịch NaOH theo tỉ lệ số mol 1 : 1. Công thức cấu tạo thu gọn của X là
A. C6H5CH(OH)2 .
B. HOC6H4CH2OH
C. CH3C6H3(OH)2.
D. CH3OC6H4OH.
Chất X phản ứng với Na tạo ra nH2 = nX => có 2 nhóm -OH.
X phản ứng với NaOH theo tỉ lệ 1:1 => Có 1 nhóm OH gắn vào nhân thơm.
=> X là: X là HOC6H4CH2OH.
Câu 9. Số đồng phân phenol ứng với công thức phân tử C7H8O là:
A. 2
B. 4
C. 3
D. 5
Dựa vào định nghĩa phenol: Phenol là hợp chất hữu cơ có nhóm –OH liên kết trực tiếp với vòng benzen.
Vậy có 3 đồng phân phenol.
Câu 10. Cho hợp chất phenol có công thức cấu tạo sau:

Tên gọi của phenol đó là
A. 2-methylphenol.
B. 3-methylphenol.
C. 4-methylphenol.
D. hydroxytoluene.
Tên gọi của phenol đó là 4-methylphenol.
Câu 11. Cho các phát biểu sau về phenol:
(a) phenol tan nhiều trong nước lạnh;
(b) phenol có tính acid nhưng phenol không làm đổi màu quỳ tím;
(c) phenol được dùng để sản xuất phẩm nhuộm, chất diệt nấm mốc;
(d) nguyên tử H trong benzene dễ bị thế hơn nguyên tử H trong vòng benzene của phenol;
(e) cho nước brom vào phenol thấy xuất hiện kết tủa.
Số phát biểu đúng là
A. 5
B. 3
C. 2
D. 4
Các phát biểu đúng là:
(b) phenol có tính acid nhưng phenol không làm đổi màu quỳ tím;
(c) phenol được dùng để sản xuất phẩm nhuộm, chất diệt nấm mốc;
(e) cho nước bromine vào phenol thấy xuất hiện kết tủa.
Câu 12. Phát biểu nào sau đây về phenol là sai?
A. Phenol thuộc loại alcohol thơm, đơn chức.
B. Dung dịch phenol không làm đổi màu quỳ tím.
C. Phenol ít tan trong nước lạnh, tan nhiều trong nước nóng.
D .Phenol tác dụng với nước bromine tạo ra kết tủa.
Phát biểu sai là: Phenol thuộc loại ancol thơm, đơn chức vì phenol không phải alcohol thơm.
Câu 13. Cho m gam hỗn hợp X gồm phenol và ethanol phản ứng hoàn toàn với Na dư, thu được 1 239,5 mL khí H2 (đo ở điều kiện chuẩn 25oC, 1 bar). Mặt khác, m gam X phản ứng tối đa với 100 mL dung dịch NaOH 0,5 M. Giá trị của m là
A. 10,5.
B. 7,0.
C. 14,0.
D. 21,0.
Trong hỗn hợp X chỉ phenol phản ứng với NaOH.
⇒ Số mol phenol là: 0,5.0,1 = 0,05 (mol)
Hỗn hợp X phản ứng hoàn toàn với Na dư, thu được 1 239,5 mL khí H2
⇒ Số mol ethanol là: (1,2395.2)/24,79 − 0,05 = 0,05 (mol)
Vậy m = 0,05.94 + 0,05.46 = 7,0 (gam)
-------------------




