Ứng dụng, điều chế và nhận biết Hidrocacbon thơm
Chuyên đề Hóa học lớp 11: Ứng dụng, điều chế và nhận biết Hidrocacbon thơm được VnDoc sưu tầm và giới thiệu tới các bạn học sinh cùng quý thầy cô tham khảo. Nội dung tài liệu sẽ giúp các bạn học sinh học tốt môn Hóa học lớp 11 hiệu quả hơn. Mời các bạn tham khảo.
Lý thuyết: Ứng dụng, điều chế và nhận biết Hidrocacbon thơm
I. Phương pháp giải
- Nắm rõ:
+ ứng dụng các hidrocacbon thơm.
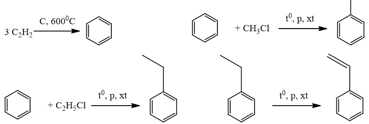
+ Một số phương pháp điều chế quan trọng điều chế benzene:
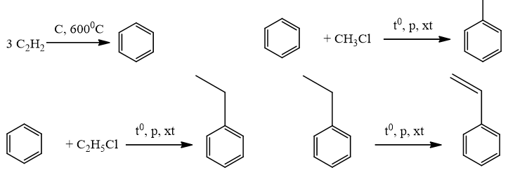
Từ axetilen:
3C2H2 → C6H6 (C, 600oC)
- Tách H2 từ xiclohexan:
C6H12→ C6H6 + 3H2 (to, xt)
+ Nhận biết các ankylbenzen bằng dung dịch KMnO4 đun nóng; stiren bằng dd Br2 hoặc KMnO4.
II. Ví dụ
Bài 1: Từ axetilen viết phuơng trình hoá học điều chế benzene, toluene, stiren.
Trả lời

Bài 2: Bằng phương pháp hoá học hãy phân biệt các chất lỏng: stiren, phenylaxetilen, toluen, bezen.
Trả lời
| Stiren | Toluen | Bezen | Phenylaxetilen | |
| AgNO3/NH3 | _ | _ | _ | ↓ màu vàng |
| KMnO4 | Mất màu thuốc tím | Không hiện tượng, đun nóng thấy mất màu | _ |
Phương trình phản ứng:
C6H5C≡CH + AgNO3 + NH3 → C6H5C≡CAg + NH4NO3
3C6H5CH=CH2 + 2KMnO4 + 4H2O → 3C6H5-CHOH-CH2OH + 2KOH + 2MnO2
C6H5CH3 + 2KMnO4 → C6H5COOK + KOH + 2MnO2 + H2O (to)
Trong phần chuyên đề trên đây chúng ta có thể hiểu biết thêm về Ứng dụng, điều chế và nhận biết Hidrocacbon thơm gồm có các điều chế, nhận biết các hidrocacbon thơm và những ứng dụng vào thực tế và phòng thí nghiệm.
Trên đây VnDoc đã giới thiệu tới các bạn lý thuyết Hóa học 11: Ứng dụng, điều chế và nhận biết Hidrocacbon thơm. Để có kết quả cao hơn trong học tập, VnDoc xin giới thiệu tới các bạn học sinh tài liệu Chuyên đề Hóa học 11, Giải bài tập Hóa học lớp 11, Giải bài tập Vật Lí 11, Tài liệu học tập lớp 11 mà VnDoc tổng hợp và đăng tải.