Đề ôn thi học kì 1 môn Toán lớp 5 - Đề 3
Đề ôn thi học kì 1 môn Toán lớp 5 - Đề 3 được VnDoc sưu tầm, chọn lọc các bài tập và đáp án chi tiết cho các em học sinh ôn tập, củng cố kiến thức các dạng Toán trọng tâm, chuẩn bị cho các bài thi kiểm tra học kì 1 lớp 5. Mời các thầy cô cùng các em học sinh tham khảo.
Đề ôn thi học kì 1 môn Toán lớp 5 - Đề 3
Đề bài ôn tập thi học kì 1 môn Toán lớp 5
Câu 1. Khoanh vào chữ đặt trước câu trả lời đúng:
5,235 km +365m = ?
A. 888,5m
B. 560m
C. 8,885km
D. 5,6km
Câu 2. Đúng ghi Đ, sai ghi S:
a) 124,15 + 9,5 + 18,85 =
A. 1435 ☐
B. 143,85 ☐
C. 15,25 ☐
D. 152,5 ☐
b) 130,5 + 9,8 + 7,5 + 1,2 =
A. 248 ☐
B. 14,8 ☐
C. 149 ☐
D. 14,90 ☐
Câu 3. Khoanh vào chữ đặt trước câu trả lời đúng:
2,175 tấn + 1912 kg + 20,25 tạ = ..... yến.
Số thích hợp điền vào chỗ chấm là:
A. 6,112
B. 61,12
C. 611,2
D. 6112
Câu 4. Đúng ghi Đ, sai ghi S:
a) 48,5 + 8,35 = 132 ☐
b) 8,35 + 48,5 = 56,85 ☐
c) 37 + 25,18 = 62,18 ☐
d) 25,18 + 37 = 25,55 ☐
Câu 5. Khoanh vào chữ đặt trước câu trả lời đúng:
Một cửa hàng bán trong 2 ngày đầu được 2,383 tấn gạo, bán trong 3 ngày sau được
\(3\dfrac{{67}}{{1000}}\) tấn gạo.
Hỏi trung bình mỗi ngày bán được bao nhiêu tạ gạo?
A. 105 tạ
B. 10,5 tạ
C. 10,9 tạ
D. 109 tạ
Câu 6. Tính bằng cách thuận tiện nhất:
0,37 + 5,684 + 3,2 + 0,63 + 5,8 + 4,316
Câu 7. Hãy so sánh A và B biết:
A =
\(\overline {a,53} + \overline {4,b6} + \overline {2,9c}\)
B =
\(\overline {a,bd} + \overline {8,3c} - \overline {0,8d}\)
Câu 8. Cho ba chữ số 4;5; 6.
a) Hãy viết tất cả các số thập phân có 3 chữ số khác nhau.
b) Tính tổng các số viết được ở câu a) bằng cách thuận tiện nhất.
Đáp án Đề kiểm tra học kì 1 môn Lớp 5 môn Toán
Câu 1.
Phương pháp:
Viết 365m thành số đo có đơn vị đo là km sau đó thực hiện phép cộng hai phân số như thông thường.
Cách giải:
Ta có: 365m=
\(\dfrac{365}{1000}\)km=0,365km.
Do đó: 5,235 km + 365m =5,235km+0,365km=5,600km=5,6km.
Chọn D.
Câu 2.
Phương pháp:
- Cách 1: Biểu thức chỉ có phép cộng thì ta thực hiện lần lượt từ trái sang phải.
- Cách 2: Áp dụng tính chất giao hoán và kết hợp của phép cộng để nhóm các số có tổng là số tự nhiên lại với nhau.
Cách giải:
a) 124,15 + 9,5 + 18,85 =(124,15 +18,85) + 9,5 =143 + 9,5=152,5
Ta có kết quả như sau:
A. S;
B. S;
C. S;
D. Đ.
b) 130,5 + 9,8 + 7,5 + 1,2 = (130,5+7,5) + (9,8+1,2) = 138 + 11 = 149
Ta có kết quả như sau:
A. S;
B. S;
C. Đ;
D. S.
Câu 3.
Phương pháp:
Đổi các số đo khối lượng về cùng đơn vị đo là yến, sau đó thực hiện phép cộng các số thập phân như thông thường.
Cách giải:
2,175 tấn + 1912 kg + 20,25 tạ
= 217,5 yến + 191,2 yến + 202,5 yến
= 217,5 yến + 202,5 yến + 191,2 yến
= 420 yến + 191,2 yến
= 611,2 yến
Chọn C.
Câu 4.
Phương pháp:
Muốn cộng hai số thập phân ta làm như sau:
- Viết số hạng này dưới số hạng kia làm sao cho các chữ số ở cùng một hàng đặt thẳng cột với nhau.
- Cộng như cộng các số tự nhiên.
- Viết dấu phẩy ở tổng thẳng cột với các dấu phẩy của các số hạng.
Cách giải:
Ta đặt tính và thực hiện tính như sau:

Ta có kết quả như sau:
a) S;
b) Đ;
c) Đ;
d) S.
Câu 5.
Phương pháp:
- Đổi
\(3\dfrac{{67}}{{1000}}\) tấn =3,067 tấn.
- Tính tổng số ngày bán hàng : 2 + 3 =5 ngày
- Tính tổng số tấn thóc bán được trong 5 ngày, sau đó đổi sang đơn vị đo thích hợp.
- Tính số tạ gạo trung bình mỗi ngày bán được ta lấy tổng số gạo bán được trong 5 ngày chia cho 5.
Cách giải:
Đổi
\(3\dfrac{{67}}{{1000}}\) tấn =3,067 tấn.
Cửa hàng đã bán gạo trong số ngày là:
2 + 3 = 5 (ngày)
Trong 5 ngày cửa hàng đã bán được số tấn gạo là:
2,383 + 3,067=5,45 (tấn)
5,45 tấn =545 yến
Trung bình mỗi ngày cửa hàng bán đước số tạ gạo là:
545 : 5 =109 (yến)
109 yến =10,9 tạ.
Đáp số: 10,9 tạ
Chọn C.
Câu 6.
Phương pháp:
Áp dụng tính chất giao hoán và kết hợp của phép cộng để nhóm các số có tổng là số tự nhiên lại với nhau.
Cách giải:
0,37 + 5,684 + 3,2 + 0,63 + 5,8 + 4,316
= (0,37 + 0,63) + (5,684 + 4,316) + (3,2 + 5,8)
= 1 + 10 + 9 = 20.
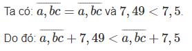
Câu 7.
Phương pháp:
Tách các số thập phân đã cho thành tổng các số thập phân, sau đó nhóm các số thích hợp lại với nhau rồi so sánh kết quả.
Cách giải:



Vậy A < B.
Câu 8.
Phương pháp:
Các số thập phân có 3 chữ số khác nhau được viết từ ba chữ số 4;5; 6 sẽ gồm các số thập phân mà phần thập phân có một chữ số hoặc phần thập phân có hai chữ số.
Cách giải:
a) Các số thập phân có phần thập phân có một chữ số: 45,6; 46,5; 54,6; 56,4; 64,5; 65,4.
Các số thập phân có phần thập phân có hai chữ số: 4,56; 4,65; 5,46; 5,64; 6,45; 6,54 .
b) Nhận xét: Trong tất cả các số thập phân lập được ở câu a ta thấy các chữ số 4;5; 6 đều đứng ở hàng chục 2 lần, hàng đơn vị 4 lần, hàng phần mười 4 lần, hàng trăm 2 lần.
Tổng của 12 số đó là:
\(10 \times 2 \times \left( {4 + 5 + 6} \right) + 1 \times 4 \times \left( {4 + 5 + 6} \right) + \dfrac{1}{{10}} \times 4 \times \left( {4 + 5 + 6} \right)\)
+
\(\dfrac{1}{{100}} \times 2 \times \left( {4 + 5 + 6} \right)\)
=20 x 15 + 4 x 15 +
\(\dfrac{4}{{10}}\times 15\) +
\(\dfrac{2}{{100}} \times 15\)
= 300 + 60 + 6 +
\(\dfrac{30}{{100}}\)
= 300 + 60 + 6 + 0,3
= 366,3.
>> Tham khảo đề tiếp theo: Đề ôn thi học kì 1 môn Toán lớp 5 - Đề 4
Đề ôn thi học kì 1 môn Toán lớp 5 - Đề 3 bao gồm 8 câu hỏi với các dạng bài tập trọng tâm cho các em học sinh ôn tập toàn bộ chương trình học môn Toán lớp 5 chương 1, chương 2. Ngoài ra, các bạn có thể luyện giải thêm bài tập SGK Tiếng Việt 5 hay SGK môn Toán lớp 5 được VnDoc sưu tầm, chọn lọc các dạng bài tập hay chi tiết mới nhất. Đồng thời các dạng đề thi học kì 1 lớp 5, đề thi học kì 2 lớp 5 theo Thông tư 22 mới nhất được cập nhật. Mời các em học sinh, các thầy cô cùng các bậc phụ huynh tham khảo đề thi, bài tập mới nhất.