Giải SBT Lịch sử 6 Cánh diều bài 4
Với nội dung bài Giải sách bài tập Lịch sử 6 bài 4: Xã hội nguyên thủy sách Cánh diều hay, chi tiết giúp học sinh dễ dàng xem và so sánh lời giải từ đó biết cách làm bài tập trong SBT Lịch sử 6.
Bài: Xã hội nguyên thủy
Câu 1 trang 9 sách bài tập Lịch Sử 6: Tổ chức xã hội đầu tiên của người nguyên thuỷ là
A. công xã nông thôn.
B. bầy người nguyên thuỷ.
C. thị tộc.
D. bộ lạc.
Lời giải:
Đáp án: B
Giải thích: Tổ chức xã hội đầu tiên của người nguyên thủy là bầy người nguyên thủy (SGK – trang 17).
Câu 2 trang 9 sách bài tập Lịch Sử 6: Công cụ lao động chủ yếu của Người tối cổ được chế tác từ
A. đá.
B. sắt.
C. chì.
D. đồng thau.
Lời giải:
Đáp án: A
Giải thích: Công cụ lao động chủ yếu của Người tối cổ được chế tác từ đá (SGK – trang 18).
Câu 3 trang 9 sách bài tập Lịch Sử 6: Đời sống tinh thần của người nguyên thủy biểu hiện qua việc
A. sùng bái “vật tổ”.
B. chế tác công cụ lao
C. thờ cúng tổ tiên.
D. cư trú ven sông, suối.
Lời giải:
Đáp án: A
Giải thích: Sùng bái “vật tổ” là nét đặc trưng trong đời sống tâm linh của người nguyên thủy (SGK – trang 19).
Câu 4 trang 9 sách bài tập Lịch Sử 6: Dấu tích của nền nông nghiệp sơ khai xuất hiện đầu tiên ở Việt Nam gắn liền với nền văn hóa
A. Đông Sơn.
B. Hòa Bình.
C. Bắc Sơn.
D. Quỳnh Văn.
Lời giải:
Đáp án: B
Giải thích: Dấu tích của nền nông nghiệp sơ khai xuất hiện đầu tiên ở Việt Nam gắn liền với nền văn hóa Hòa Bình (SGK – trang 20).
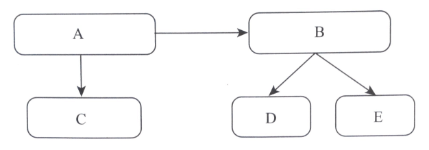
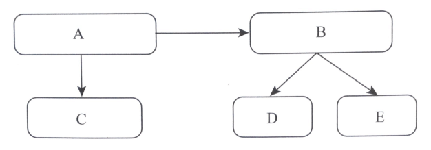
Câu 5 trang 10 sách bài tập Lịch Sử 6: Hãy đặt từ ngữ cho sẵn vào các ô A, B, C, D, E để hoàn thiện sơ đồ tổ chức xã hội của người nguyên thủy: (1) Người tối cổ; (2) Bầy người nguyên thủy; (3) Người tinh khôn; (4) Bộ lạc; (5) Thị tộc.

Lời giải:
- Các cụm từ cho sẵn được ghép theo thứ tự sau:
A – (1) Người tối cổ
B – (3) Người tinh khôn
C – (2) Bầy người nguyên thủy
D – (5) Thị Tộc
E – (4) Bộ lạc
- Lưu ý: các em có thể quan sát sơ đồ dưới đây

Câu 6 trang 10 sách bài tập Lịch Sử 6: Nối ý ở cột B với ý ở cột A sao cho phù hợp.

Lời giải:

Câu 7 trang 10 sách bài tập Lịch Sử 6: Hãy quan sát các tranh vẽ dưới đây và cho biết vai trò của lao động đối với quá trình phát triển của con người và xã hội loài người.

Lời giải:
Từ thời nguyên thủy, lao động đã có vai trò quan trọng đối với quá trình phát triển của con người và xã hội loài người.
- Lao động giúp cơ thể và tư duy của con người ngày càng hoàn thiện, phát triển. Ví dụ:
+ Thông qua quá trình lao động, tìm kiếm thức ăn, đôi tay của con người dần trở nên khéo léo, linh hoạt hơn.
+ Con người luôn tìm cách cải tiến công cụ lao động để tăng năng suất, kiếm được nhiều thức ăn hơn => nhu cầu cải tiến công cụ đã góp phần quan trọng kích thích sự phát triển của tư duy sáng tạo ở con người.
- Thông qua lao động, người nguyên thủy kiếm được thức ăn để nuôi sống bản thân và gia đình.
- Từ việc săn bắt, hái lượm cho đến việc trồng trọt, chăn nuôi, đời sống xã hội của con người có những bước chuyển biến quan trọng, như hình thành tổ chức xã hội đầu tiên (từ bảy người nguyên thủy chuyển sang giai đoạn thị tộc, bộ lạc,...).
>>>> Bài tiếp theo Giải SBT Lịch sử 6 Cánh diều bài 5
Trên đây là toàn bộ lời giải Giải SBT Lịch sử lớp 6 bài 4: Xã hội nguyên thủy Cánh diều. Các em học sinh tham khảo thêm Lịch sử lớp 6 Kết nối tri thức và Lịch sử lớp 6 Chân trời sáng tạo. VnDoc liên tục cập nhật lời giải cũng như đáp án sách mới của SGK cũng như SBT các môn cho các bạn cùng tham khảo.