Đề kiểm tra cuối tuần Toán lớp 2: Tuần 20 - Đề 2
Đề kiểm tra cuối tuần Toán lớp 2: Tuần 20 - Đề 2 hệ thống các kiến thức đã học về các phép cộng, trừ, nhân, chia và các bài toán có lời văn dành cho các em học sinh tham khảo, ôn tập giúp các em học sinh nâng cao kỹ năng giải Toán. Mời các em cùng tham khảo.
Đề kiểm tra cuối tuần Toán lớp 2: Tuần 20 - Đề 2
Đề kiểm tra cuối tuần Toán lớp 2 Tuần 20 - Đề 2
Phần 1. Bài tập trắc nghiệm:
1. Đúng ghi Đ, sai ghi S:
a) 2 được lấy 3 lần viết là 2 x 3 = 6 …
b) 2 được lấy 3 lần viết là 3 x 2 = 6 …
c) 3 x 4 = 12 ; 3 được lấy 4 lần …
d) 3 x 4 = 12 ; 4 được lấy 3 lần …
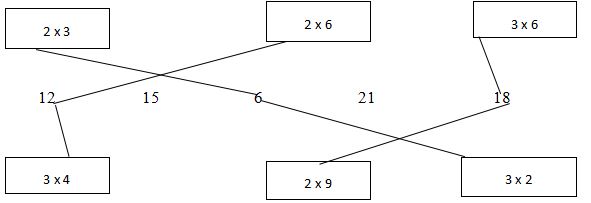
2. Nối phép tính với kết quả đúng:

3. Nối phép tính với kết quả đúng:

4. Đúng ghi Đ, sai ghi S. Viết phép tính đúng hay sai:
*Mỗi con vịt có 2 chân. Hỏi 3 con vịt có bao nhiêu chân?
a) 2 x 3 = 6 (chân) ….
b) 3 x 2 = 6 (chân) ….
*Mỗi can dầu đựng 3l dầu. Hỏi 2 can dầu đựng bao nhiêu lít dầu?
c) 2 x 3 = 6 (l) ….
d) 3 x 2 = 6 (l) ….
Phần 2. Học sinh trình bày bài làm:
5. Viết 9 số khác nhau đều bé hơn 10 vào các ô trống ở hàng thứ hao. Viết kết quả phép tính vào hàng thứ ba.
|
Thừa số |
3 |
3 |
3 |
3 |
3 |
3 |
3 |
3 |
3 |
3 |
|
Thừa số |
10 |
|||||||||
|
Tích |
6. Viết số thích hợp vào ô chấm:

7. Con kiến đi từ A qua B, qua C rồi đến D. Hỏi con kiến đi từ A đến D được quãng đường dài bao nhiêu đề-xi-mét?

Bài giải
………………………………………………..
………………………………………………..
………………………………………………..
Đáp án đề kiểm tra cuối tuần Toán 2 tuần 20 - Đề 2
1. a) Đ b) S
c) Đ d) S
2.

3.

4. a) Đ b) S c) S d) Đ
6.

7.
Cách 1.
2 + 2 + 2 = 6 (dm)
Cách 2.
2 x 3 = 6 (dm)
>>> Bài tiếp theo: Đề kiểm tra cuối tuần Toán lớp 2: Tuần 22 - Đề 1
Đề kiểm tra cuối tuần Toán lớp 2: Tuần 20 - Đề 2 có bài tập vận dụng kèm lời giải chi tiết cho các em học sinh tham khảo vận dụng kỹ năng giải bài tập Toán lớp 2, giúp các em học sinh tự ôn tập và rèn luyện tốt môn Toán nâng cao lớp 2.
...............................
I. Đề thi học kì 1 lớp 2 Tải nhiều
- Bộ 145 đề thi học kì 1 môn Toán lớp 2 năm 2019 - 2020
- Tuyển tập 37 đề thi học kì 1 môn Toán lớp 2
- 19 đề thi học kì 1 môn Tiếng Việt lớp 2 có đáp án
- 58 đề ôn tập học kì 1 môn Toán lớp 2
- Bộ 24 đề thi học kì 1 lớp 2 năm 2019 - 2020 có đáp án
II. Đề thi học kì 1 lớp 2 năm 2020 - 2021 Hay chọn lọc
1. Đề cương ôn tập lớp 2 học kì 1 năm 2020 - 2021
- Đề cương ôn tập lớp 2 học kì 1 năm 2020 - 2021
- Đề cương ôn tập môn Tiếng Việt lớp 2 học kì 1 năm 2020 - 2021
- Đề cương ôn tập môn Toán lớp 2 học kì 1 năm 2020 - 2021
- Đề cương tiếng Anh lớp 2 học kì 1 năm 2020 - 2021
- Đề cương ôn tập môn Tự nhiên xã hội lớp 2
1. Đề thi học kì 1 lớp 2 năm 2020 - 2021 môn Toán
- Đề thi học kì 1 lớp 2 môn Toán năm 2020 - 2021 - Đề 1
- Đề thi học kì 1 lớp 2 môn Toán năm 2020 - 2021 - Đề 2
- Đề thi học kì 1 lớp 2 môn Toán năm 2020 - 2021 - Đề 3
- Đề thi học kì 1 lớp 2 môn Toán năm 2020 - 2021 - Đề 4
- Đề thi học kì 1 lớp 2 môn Toán năm 2020 - 2021 - Đề 5
- Bộ đề thi học kì 1 lớp 2 môn Toán năm 2020 - 2021
- Đề thi học kì 1 lớp 2 môn Toán năm 2020 - 2021 theo Thông tư 22 - Đề 1
- Đề thi học kì 1 lớp 2 môn Toán năm 2020 - 2021 theo Thông tư 22 - Đề 2
- Đề thi học kì 1 lớp 2 môn Toán năm 2020 - 2021 theo Thông tư 22 - Đề 3
- Bộ đề thi học kì 1 lớp 2 môn Toán năm 2020 - 2021 theo Thông tư 22
2. Đề thi học kì 1 lớp 2 năm 2020 - 2021 môn Tiếng Việt
- Đề thi học kì 1 lớp 2 môn Tiếng Việt năm học 2020 - 2021 theo Thông tư 22
- Đề thi học kì 1 lớp 2 môn Tiếng Việt năm 2020 - 2021 - Đề 1
- Đề thi học kì 1 lớp 2 môn Tiếng Việt năm 2020 - 2021 - Đề 2
- Đề thi học kì 1 lớp 2 môn Tiếng Việt năm 2020 - 2021 - Đề 3
- Bộ đề thi học kì 1 lớp 2 môn Tiếng Việt năm 2020 - 2021
4. Đề thi học kì 1 lớp 2 năm 2020 - 2021 môn Tin Học
5. Đề thi học kì 1 lớp 2 năm 2020 - 2021 môn Tự nhiên
III. Đề thi học kì 1 lớp 2 VnDoc biên soạn:
1. Đề thi học kì 1 lớp 2 năm 2020 - 2021 môn Tiếng Việt
- Đề thi học kì 1 lớp 2 môn Tiếng Việt năm 2020-2021 - Đề 1
- Đề thi học kì 1 lớp 2 môn Tiếng Việt năm 2020-2021 - Đề 2
- Đề thi học kì 1 lớp 2 môn Tiếng Việt năm 2020-2021 - Đề 3
- Đề thi học kì 1 lớp 2 môn Tiếng Việt năm 2020-2021 - Đề 4
- Bộ đề thi học kì 1 lớp 2 môn Tiếng Việt năm 2020-2021
2. Đề thi học kì 1 lớp 2 năm 2020 - 2021 môn Toán
- Đề thi học kì 1 lớp 2 môn Toán năm học 2020 - 2021 Đề số 1
- Đề thi học kì 1 lớp 2 môn Toán năm học 2020 - 2021 Đề số 2
- Đề thi học kì 1 lớp 2 môn Toán năm học 2020 - 2021 Đề số 3
- Đề thi học kì 1 lớp 2 môn Toán năm học 2020 - 2021 Đề số 4
- Đề thi học kì 1 lớp 2 môn Toán năm học 2020 - 2021 Đề số 5
- Bộ đề thi học kì 1 lớp 2 môn Toán năm học 2020 - 2021
3. Đề thi học kì 1 lớp 2 năm 2020 - 2021 môn Tiếng Anh
- Đề thi học kì 1 lớp 2 môn Tiếng Anh năm 2020 - 2021 - Đề 1
- Đề thi học kỳ 1 môn tiếng Anh lớp 2 có đáp án năm 2020 - 2021