Giải Toán lớp 4 VNEN bài 103: Ôn tập các phép tính với phân số
Giải Toán lớp 4 VNEN bài 103: Ôn tập các phép tính với phân số - Sách VNEN toán 4 tập 2 trang 104, 105, 106 bao gồm chi tiết lời giải cho từng bài tập giúp các em học sinh củng cố, rèn kỹ năng giải Toán Chương 5. Mời các em học sinh tham khảo lời giải hay sau đây.
>> Bài trước: Giải Toán lớp 4 VNEN bài 102: Ôn tập về phân số
Bài 103 ôn tập về các phép tính với phân số
A. Hoạt động thực hành bài 103 Toán lớp 4 VNEN
Câu 1: Trang 104 toán VNEN 4 tập 2
Chơi trò chơi "Tô màu và tính":
a. Lấy một tờ giấy hình chữ nhật. Gấp đôi tờ giấy để được hai phần, gấp đôi tiếp được 4 phần rồi gấp đôi tiếp để được 8 phân bằng nhau.
b. Hai bạn lần lượt lấy bút tô màu
\(\frac{1}{4}\) tờ giấy, tô tiếp
\(\frac{1}{8}\) tờ giấy và tô thêm
\(\frac{3}{8}\) tờ giấy. Các em đếm có bao nhiêu phần tờ giấy được tô màu.
c. Thực hiện phép tính:
\(\frac{1}{4}+\frac{1}{8}+\frac{3}{8}\)
d) Cả nhóm so sánh kết quả với kết quả tô màu.
Đáp án
a, b) Các em thực hiện các bước như sách giáo khoa đã hướng dẫn thì ta được hình chữ nhật có 6 ô đã tô màu như sau:
Các em thực hiện các bước như sách giáo khoa đã hướng dẫn thì ta được hình chữ nhật có 6 ô đã tô màu như sau:

c. Thực hiện phép tính:
\(\frac{1}{4}+\frac{1}{8}+\frac{3}{8}=\frac{2}{8}+\frac{1}{8}+\frac{3}{8}=\frac{6}{8}\)
d) So sánh ta thấy kết quả tính giống với kết quả tô màu.
Câu 2: Trang 105 toán VNEN 4 tập 2
Tính:
a)
\(\frac{2}{7}+\frac{4}{7} ; \frac{7}{9}-\frac{4}{9} ; \frac{2}{5}+\frac{3}{5}\)
b)
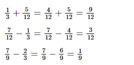
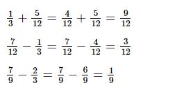
\(\frac{1}{3}+\frac{5}{12} ; \frac{7}{12}-\frac{1}{3} ; \frac{7}{9}-\frac{2}{3}\)
c)
\(\frac{2}{7}+\frac{4}{5} ; \frac{2}{3}-\frac{3}{5} ; \frac{31}{5}-\frac{2}{7}\)
d)
\(\frac{3}{4}+\frac{1}{6} ; \frac{11}{12}-\frac{3}{4} ; \frac{7}{6}-\frac{5}{8}\)
Đáp án
a

b

c

d

Câu 3: Trang 105 toán VNEN 4 tập 2
Tính:
a)
\(\dfrac{2}{3} \times \dfrac{4}{7}; \dfrac{8}{{21}}:\dfrac{2}{4}; \dfrac{3}{{11}} \times 2\)
b)
\(4 \times \dfrac{2}{7}; \dfrac{8}{5}:\dfrac{2}{5}; \dfrac{6}{{13}}:2\)
Đáp án
a)
\(\dfrac{2}{3} \times \dfrac{4}{7} = \dfrac{{2 \times 4}}{{3 \times 7}} = \dfrac{8}{{21}};\)
\(\dfrac{8}{{21}}:\dfrac{2}{4} = \dfrac{8}{{21}} \times \dfrac{4}{2} = \dfrac{{32}}{{42}} = \dfrac{{16}}{{21}};\)
\(\dfrac{3}{{11}} \times 2 = \dfrac{{3 \times 2}}{{11}} = \dfrac{6}{{11}}\)
b)
\(4 \times \dfrac{2}{7} = \dfrac{{4 \times 2}}{7} = \dfrac{8}{7};\)
\(\dfrac{8}{5}:\dfrac{2}{5} = \dfrac{8}{5} \times \dfrac{5}{2} = \dfrac{{40}}{{10}} = 4;\)
\(\dfrac{6}{{13}}:2 = \dfrac{6}{{13}}:\dfrac{2}{1} = \dfrac{6}{{13}} \times \dfrac{1}{2} = \dfrac{6}{{26}} = \dfrac{3}{{13}}.\)
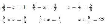
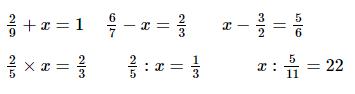
Câu 4: Trang 105 toán VNEN 4 tập 2
Tim x:

Đáp án

Câu 5: Trang 105 toán VNEN 4 tập 2
Diện tích vườn hoa nhà trường được sử dụng như sau: 3/4 diện tích dùng để trồng hoa, 1/5 diện tích dùng để làm đường đi và diện tích phần còn lại để xây bể nước. Hỏi:
a. Diện tích bể nước chiếm bao nhiêu phần diện tích vườn hoa.
b. Diện tích bể xây nước bao nhiêu mét vuông biết vườn hoa là hình chữ nhật có chiều dài 20m, chiều rộng 15m?
Đáp án
a. Phần diện tích trồng hoa và làm đường đi chiếm số phần là:
![]()
Diện tích bể nước chiếm số phần là:
![]()
b. Diện tích vườn hoa hình chữ nhật là:
20 x 15 = 300 (m2)
Vậy diện tích bể nước là:

Đáp số: a. 1/20; b. 15 m2
Câu 6: Trang 105 toán VNEN 4 tập 2
Một tờ giấy hình vuông có cạnh
\(\frac{2}{5}\)m
a. Tính chu vi, diện tích của tờ giấy
b. Người ta cắt tờ giấy đó thành các ô vuông, mỗi ô có cạnh
\(\frac{2}{25}\)m. Hỏi được bao nhiêu ô vuông như thế?
Đáp án
a. Chu vi của hình vuông là:
\(\frac{2}{5} \times 4=\frac{8}{5}(\mathrm{m})\)
Diện tích của hình vuông là:
\(\frac{2}{5} \times \frac{2}{5}=\frac{4}{25}\left(m^{2}\right)\)
b. Nếu cắt ô vuông có cạnh
\(\frac{2}{25}\)m thì cắt được số ô vuông là:
\(\frac{4}{25}: \frac{2}{25}=2 \text { (ô vuông) }\)
Đáp số: a.
\(\frac{4}{25}\) m2; b. 2 ô vuông
B. Hoạt động ứng dụng bài 103 Toán lớp 4 VNEN
Câu 1: Trang 105 toán VNEN 4 tập 2
Con sên thứ nhất trong 15 phút bò được
\(\frac{2}{5}\)m. Con sên thứ hai trong giờ
\(\frac{1}{4}\) giờ bò được 45cm. Hỏi con sên nào bò nhanh hơn.
Đáp án
Đổi: 1m = 100cm,
\(\frac{1}{4}\) giờ = 15 phút
Trong 15 phút con sên thứ nhất đi được số cm là:
100 x
\(\frac{2}{5}\)= 40 (cm)
Như vậy:
Trong 15 phút con sên thứ nhất bò được 40cm
Trong 15 phút con sên thứ hai bò được 45cm
=> Con sên thứ hai bò nhanh hơn (nhanh hơn 5cm).
Câu 2: Trang 106 toán VNEN 4 tập 2
Chú Toàn lái xe từ Hải Phòng đến thành phố Hồ Chí Minh trong 3 ngày. Ngày thứ nhất chú đi được
\(\frac{1}{3}\) quãng đường. Ngày thứ hai chú đi được
\(\frac{1}{4}\) quãng đường. Hỏi ngày thứ ba chú Toàn còn phải đi mấy phần quãng đường nữa?
Đáp án
Ngày thứ nhất và thứ hai chú Toàn đã đi được số phần quãng đường là:
\(\frac{1}{3}+\frac{1}{4}=\frac{4}{12}+\frac{3}{12}=\frac{7}{12}\)
Vậy ngày thứ ba chú Toàn còn phải đi số phần quãng đường là:
\(1-\frac{7}{12}=\frac{5}{12}\)
Đáp số:
\(\frac{5}{12}\)
>> Bài tiếp theo: Giải Toán lớp 4 VNEN bài 104: Ôn tập các phép tính với phân số (tiếp theo)
Bên cạnh đó, các bạn có thể tham khảo thêm Lý thuyết Toán 4; Toán lớp 4; Đề kiểm tra cuối tuần môn Toán lớp 4.