Giải Toán lớp 4 VNEN bài 73: Phép cộng phân số
Giải Toán lớp 4 VNEN bài 73: Phép cộng phân số - Sách VNEN toán 4 tập 2 trang 40 bao gồm chi tiết lời giải cho từng bài tập giúp các em học sinh củng cố, rèn kỹ năng giải Toán Chương 4. Mời các em học sinh tham khảo lời giải hay sau đây.
Bài 73: Phép cộng phân số
A. Hoạt động cơ bản bài 73 Toán lớp 4 VNEN
1. Chơi trò chơi: Đố bạn
Viết một phân số bất kì, đố các bạn trong nhóm vẽ hình biểu diễn phân số em vừa viết
Ví dụ:
![]()
Trả lời:

2. Thực hiện lần lượt các hoạt động sau: (sgk)
Muốn cộng hai phân số cùng mẫu số, ta cộng hai tử số với nhau và giữ nguyên mẫu số.
3. Em viết hai phân số có cùng mẫu số rồi đố bạn cộng hai phân số đó
![]()
Trả lời:

B. Hoạt động thực hành bài 73 Toán lớp 4 VNEN
Câu 1: Trang 41 sách VNEN toán 4
Tính:

Đáp án

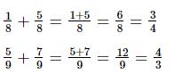
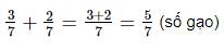
Câu 2: Trang 41 sách VNEN toán 4
Tính rồi rút gọn (theo mẫu):
![]()
Đáp án

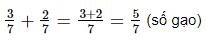
Câu 3: Trang 42 sách VNEN toán 4
Hai ô tô cùng chuyển gạo ở một kho. Ô tô thứ nhất chuyển được 3/7 số gạo trong kho, ô tô thứ hai chuyển được 2/7 số gạo trong kho. Hỏi cả hai ô tô chuyển được bao nhiêu phần số gạo trong kho?
Đáp án
Tóm tắt bài toán:
Ô tô 1: 3/7 số gạo
Ô tô 2: 2/7 số gạo
Cả hai: ? số gạo
Bài giải:
Cả hai ô tô chở được số phần gạo trong kho là:
![]()
Đáp số: 5/7 số gạo
C. Hoạt động ứng dụng bài 73 Toán lớp 4 VNEN
Câu 2: Trang 42 sách VNEN toán 4
Lấy ba ví dụ về phép cộng hai phân số có cùng mẫu số, rồi tính và viết vào vở
Đáp án
Ba phép cộng phân số có cùng mẫu số và thực hiện tính:

D. Bài tập Phép cộng phân số
- Bài tập Phép cộng phân số lớp 4
- Giải bài tập trang 126 SGK Toán 4: Phép cộng phân số
- Giải bài tập trang 127 SGK Toán 4: Phép cộng phân số (tiếp theo)
Ngoài giải bài tập Toán 4 VNEN, VnDoc còn giúp các bạn tham khảo thêm đề thi học kì 1 lớp 4 và đề thi học kì 2 lớp 4 các môn Toán, Tiếng Việt, Tiếng Anh, Khoa, Sử, Địa theo chuẩn thông tư 22 của bộ Giáo Dục. Những đề thi này được VnDoc.com sưu tầm và chọn lọc từ các trường tiểu học trên cả nước nhằm mang lại cho học sinh lớp 4 những đề ôn thi học kì chất lượng nhất. Mời các em cùng quý phụ huynh tải miễn phí đề thi về và ôn luyện.