Giải Toán lớp 4 VNEN bài 66: Rút gọn phân số
Giải Toán lớp 4 VNEN bài 66: Rút gọn phân số - Sách VNEN toán 4 tập 2 trang 23 bao gồm chi tiết lời giải cho từng bài tập giúp các em học sinh củng cố, rèn kỹ năng giải Toán Chương 4. Mời các em học sinh tham khảo lời giải hay sau đây.
Giải Toán lớp 4 VNEN bài 66
A. Hoạt động cơ bản bài 66 Toán lớp 4 VNEN
1. Chơi trò chơi "đố bạn"
Em viết một phân số bất kì, đố bạn viết phân số bằng phân số em vừa viết:

2. Thực hiện lần lượt các hoạt động (Sgk)
Có thể rút gọn phân số để được một phân số có tử số và mẫu số bé hơn nhưng phân số mới vẫn bằng phân số đã cho
3. Đọc kĩ nhận xét sau và nghe thầy/ cô giáo hướng dẫn:
Khi rút gọn phân số có thể làm như sau:
· Xét xem tử số và mẫu số cùng chia hết cho số tự nhiên nào lớn hơn 1.
· Chia cả tử số và mẫu số cho số đó
Cứ làm như thế đến khi nhận được phân số tối giản
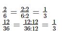
Ví dụ: Rút gọn các phân số sau: 2/6; 12/36
Trả lời:

B. Hoạt động thực hành bài 66 Toán lớp 4 VNEN
Câu 1: Trang 25 sách VNEN toán 4
Viết số thích hợp vào ô trống:

Đáp án

Câu 2: Trang 25 sách VNEN toán 4
Trả lời câu hỏi: Phân số nào trong các phân số:
![]()
là phân số tối giản? Vì sao?
Đáp án
Phân số tối giản là: 1/5; 6/7; 9/19 vì những phân số này không thể rút gọn được nữa.
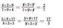
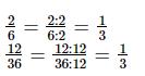
Câu 3: Trang 25 sách VNEN toán 4
Rút gọn các phân số:
![]()
Đáp án

Câu 4: Trang 26 sách VNEN toán 4
Tính rồi viết (theo mẫu):

Đáp án

C. Hoạt động ứng dụng bài 66 Toán lớp 4 VNEN
Câu 1: Trang 26 sách VNEN toán 4
Em hãy tìm ba phân số tối giản, 3 phân số chưa tối giản và viết vào vở.
Ba phân số tối giản là: 1/2 ; 3/4 ; 5/6
Ba phân số chưa tối giản là: 4/8 ; 15/20 ; 16/24
Câu 2: Trang 26 sách VNEN toán 4
Rút gọn các phân số mà em vừa viết
4/8 ; 15/20 ; 16/24
Đáp án

Ngoài giải bài tập Toán 4 VNEN, VnDoc còn giúp các bạn giải toán lớp 4 sách giáo khoa và bài tập tương ứng Giải bài tập trang 114 SGK Toán 4: Luyện tập rút gọn phân số. Các em học sinh hoặc quý phụ huynh còn có thể tham khảo thêm đề thi học kì 1 lớp 4 và đề thi học kì 2 lớp 4 các môn Toán, Tiếng Việt, Tiếng Anh, Khoa, Sử, Địa theo chuẩn thông tư 22 của bộ Giáo Dục. Những đề thi này được VnDoc.com sưu tầm và chọn lọc từ các trường tiểu học trên cả nước nhằm mang lại cho học sinh lớp 4 những đề ôn thi học kì chất lượng nhất. Mời các em cùng quý phụ huynh tải miễn phí đề thi về và ôn luyện.