Giải Toán lớp 4 VNEN bài 67: Quy đồng mẫu số các phân số
Giải Toán lớp 4 VNEN bài 67: Quy đồng mẫu số các phân số - Sách VNEN toán 4 tập 2 trang 26 bao gồm chi tiết lời giải cho từng bài tập giúp các em học sinh củng cố, rèn kỹ năng giải Toán Chương 4. Mời các em học sinh tham khảo lời giải hay sau đây.
Bài 67: Quy đồng mẫu số các phân số
A. Hoạt động cơ bản bài 67 Toán lớp 4 VNEN
1. Chơi trò chơi "đố bạn"
Cho các phân số:
![]()
Em đố bạn:
· Chỉ ra các phân số bằng phân số 1/2
· Chỉ ra các phân số bằng phân số 1/3
Trả lời:
· Các phân số bằng phân số 1/2 là:
![]()
· Các phân số bằng phân số 1/3 là:
![]()
2. Thực hiện lần lượt các hoạt động sau (sgk)
B. Hoạt động thực hành bài 67 Toán lớp 4 VNEN
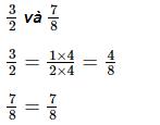
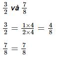
Câu 1: Trang 28 sách VNEN toán 4
Quy đồng mẫu số hai phân số:

Đáp án



Câu 2: Trang 28 sách VNEN toán 4
Quy đồng mẫu số hai phân số:
![]()
Đáp án



C. Hoạt động ứng dụng bài 67 Toán lớp 4 VNEN
Câu 1: Trang 28 sách VNEN toán 4
Hãy viết các phân số lần lượt bằng 5/6, 9/89 và có mẫu số chung là 24
Đáp án

Câu 2: Trang 28 sách VNEN toán 4
Tìm mẫu số chung của các phân số:

Đáp án

=> Vậy mẫu chung là 12

=> Vậy mẫu chung là 8
Ngoài giải bài tập Toán 4 VNEN, VnDoc còn giúp các bạn giải toán lớp 4 sách giáo khoa và bài tập tương ứng Giải bài tập trang 116, 117 SGK Toán 4: Quy đồng mẫu các phân số. Các em học sinh hoặc quý phụ huynh còn có thể tham khảo thêm đề thi học kì 1 lớp 4 và đề thi học kì 2 lớp 4 các môn Toán, Tiếng Việt, Tiếng Anh, Khoa, Sử, Địa theo chuẩn thông tư 22 của bộ Giáo Dục.