Giải Toán lớp 4 VNEN bài 69: Luyện tập
Giải Toán lớp 4 VNEN bài 69: Luyện tập - Sách VNEN toán 4 tập 2 trang 31 bao gồm chi tiết lời giải cho từng bài tập giúp các em học sinh củng cố, rèn kỹ năng giải Toán Chương 4. Mời các em học sinh tham khảo lời giải hay sau đây.
Giải Toán lớp 4 VNEN bài 69
A. Hoạt động thực hành bài 69 Toán lớp 4 VNEN
Câu 1: Trang 31 sách VNEN toán 4
Quy đồng mẫu số hai phân số:

Đáp án



Câu 2: Trang 31 sách VNEN toán 4
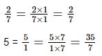
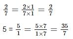
a. Hãy viết 2/7 và 5 thành hai phân số đều có mẫu số là 7
b. Hãy viết 4 và 3/4 thành hai phân số đều có mẫu số là 4
Đáp án
a. Hãy viết 2/7 và 5 thành hai phân số đều có mẫu số là 7

b. Hãy viết 4 và 3/4 thành hai phân số đều có mẫu số là 4

Câu 3: Trang 31 sách VNEN toán 4
Quy đồng mẫu số các phân số (theo mẫu):

Đáp án


B. Hoạt động ứng dụng bài 69 Toán lớp 4 VNEN
Câu 1: Trang 32 sách VNEN toán 4
Em hãy viết hai phân số bất kì, tìm mẫu chung và quy đồng mẫu số hai phân số đó
Ví dụ mẫu:
Hai phân số bất kì là: 4/7 và 1/4
Mẫu số chung của hai phân số này là: 28
Quy đồng hai phân số:

Ngoài giải bài tập Toán 4 VNEN, VnDoc còn giúp các bạn giải toán lớp 4 sách giáo khoa và bài tập tương ứng Giải vở bài tập Toán 4. Các em học sinh hoặc quý phụ huynh còn có thể tham khảo thêm đề thi học kì 1 lớp 4 và đề thi học kì 2 lớp 4 các môn Toán, Tiếng Việt, Tiếng Anh, Khoa, Sử, Địa theo chuẩn thông tư 22 của bộ Giáo Dục. Những đề thi này được VnDoc.com sưu tầm và chọn lọc từ các trường tiểu học trên cả nước nhằm mang lại cho học sinh lớp 4 những đề ôn thi học kì chất lượng nhất. Mời các em cùng quý phụ huynh tải miễn phí đề thi về và ôn luyện.
- Đề thi học kì 1 lớp 4 môn Tiếng Việt năm 2022 - 2023
- Bộ đề thi học kì 1 môn Tiếng Việt lớp 4 năm 2022 Tải nhiều
- 8 Đề thi học kì 1 môn tiếng Anh lớp 4 có file nghe năm 2022
- Bộ đề thi học kì 1 lớp 4 năm 2022 - 2023 Có đáp án
- Đề thi Tin học lớp 4 kì 1 năm 2022 - 2023 Tải nhiều
- Bộ đề thi học kì 1 môn Lịch sử - Địa lý lớp 4 năm 2022 Tải nhiều
- Đề thi học kì 1 lớp 4 môn Khoa học năm 2022 - 2023 Tải nhiều