Giải Toán lớp 4 VNEN bài 71: So sánh hai phân số khác mẫu
Giải Toán lớp 4 VNEN bài 71: So sánh hai phân số khác mẫu - Sách VNEN toán 4 tập 2 trang 38 bao gồm chi tiết lời giải cho từng bài tập giúp các em học sinh củng cố, rèn kỹ năng giải Toán Chương 4. Mời các em học sinh tham khảo lời giải hay sau đây.
>> Bài trước: Giải Toán lớp 4 VNEN bài 70: So sánh hai phân số cùng mẫu số
Bài 71 so sánh hai phân số khác mẫu số
A. Hoạt động cơ bản bài 71 Toán lớp 4 VNEN
1. Chơi trò chơi "đố bạn"
Em viết phân số cùng mẫu rồi đố các bạn so sánh hai phân số đó.
Ví dụ :
\(\dfrac{4}{5} và \dfrac{1}{5} ; \dfrac{3}{8} và \dfrac{7}{8} ; \dfrac{{38}}{{45}} và \dfrac{{38}}{{45}}.\)
So sánh các phân số trên ta có :
\(\dfrac{4}{5} > \dfrac{1}{5} ; \dfrac{3}{8} < \dfrac{7}{8} ; \dfrac{{38}}{{45}} = \dfrac{{38}}{{45}}\).
2. Thực hiện các hoạt động sau để so sánh hai phân số 2/3 và 3/4 (sgk)
Muốn so sánh hai phân số khác mẫu số, ta có thể quy đồng mẫu số hai phân số đó rồi so sánh các tử số của hai phân số mới.
Thực hiện lần lượt các hoạt động sau để so sánh hai phân số
\(\dfrac{2}{3} và \dfrac{3}{4}\):
a) Lấy hai băng giấy như nhau :
Chia băng giấy thứ nhất thành 3 phần bằng nhau. Tô màu vào
\(\dfrac{2}{3}\) băng giấy.

Chia băng giấy thứ hai thành 4 phần bằng nhau. Tô màu vào
\(\dfrac{3}{4}\) băng giấy.

b) So sánh phần đã tô màu của hai băng giấy trên.

Như vậy:
\(\dfrac{2}{3} < \dfrac{3}{4}\,\,;\,\,\,\,\,\dfrac{3}{4} > \dfrac{2}{3}\).
c) Đọc kĩ nội dung sau và nghe thầy/cô giáo hướng dẫn :
Ta có thể so sánh hai phân số
\(\dfrac{2}{3} và \dfrac{3}{4}\) như sau:
• Quy đồng mẫu số hai phân số :
\(\dfrac{2}{3} = \dfrac{{2 \times 4}}{{3 \times 4}} = \dfrac{8}{{12}}\,\,\,; \dfrac{3}{4} = \dfrac{{3 \times 3}}{{4 \times 3}} = \dfrac{9}{{12}}\).
• So sánh hai phan số có cùng mẫu số
\(\dfrac{8}{{12}} và \dfrac{9}{{12}}\) :
\(\dfrac{8}{{12}} < \dfrac{9}{{12}}\) (vì 8 < 9).
• Kết luận:
\(\dfrac{2}{3} < \dfrac{3}{4}\).
Muốn so sánh hai phân số khác mẫu số, ta có thể quy đồng mẫu số hai phân số đó, rồi so sánh các tử số của hai phân số mới.
Lời giải chi tiết:
a) Em thực hiện các bước theo hướng dẫn của thầy/cô giáo.
b) Em đặt hai băng giấy cạnh nhau và so sánh hai phần bị tô màu với nhau, phần bị tô màu hồng dài hơn phần bị tô màu xanh.
c) Em đọc kĩ sách và nghe thầy/cô giáo hướng dẫn.
3. So sánh hai phân số:
a) Nói cách so sánh hai phân số khác mẫu số với bạn.
b) So sánh hai phân số:
\(\dfrac{1}{2} và \dfrac{2}{3}\).
Trả lời
a) Cách so sánh hai phân số khác mẫu số : Muốn so sánh hai phân số khác mẫu số, ta có thể quy đồng mẫu số hai phân số đó, rồi so sánh các tử số của hai phân số mới.
b) Ta có:
\(\dfrac{1}{2} = \dfrac{{1 \times 3}}{{2 \times 3}} = \dfrac{3}{6}\,\, ;\,\, \dfrac{2}{3} = \dfrac{{2 \times 2}}{{3 \times 2}} = \dfrac{4}{6}\).
Mà
\(\dfrac{3}{6} < \dfrac{4}{6}\)(vì 3 < 4).
Vậy
\(\dfrac{1}{2} < \dfrac{2}{3}\).
B. Hoạt động thực hành bài 71 Toán lớp 4 VNEN
Câu 1: Trang 37 sách VNEN toán 4
So sánh hai phân số:
a)
\(\dfrac{3}{4} và \dfrac{1}{3}\)
b)
\(\dfrac{2}{5} và \dfrac{3}{2}\)
c)
\(\dfrac{7}{2} và \dfrac{1}{4}\)
d)
\(\dfrac{3}{4} và \dfrac{5}{6}\)
Phương pháp giải:
Muốn so sánh hai phân số khác mẫu số, ta có thể quy đồng mẫu số hai phân số đó, rồi so sánh các tử số của hai phân số mới.
Đáp án




Câu 2: Trang 37 sách VNEN toán 4
Rút gọn rồi so sánh hai phân số:
a)
\(\dfrac{6}{{10}} và \dfrac{4}{5}\)
b)
\(\dfrac{3}{4} và \dfrac{6}{{12}}\)
Phương pháp giải:
- Khi rút gọn phân số ta có thể làm như sau :
• Xét xem tử số và mẫu số cùng chia hết cho số tự nhiên nào lớn hơn 1.
• Chia cả tử số và mẫu số cho số đó.
Cứ làm như thế cho đến khi nhận được phân số tối giản.
- Muốn so sánh hai phân số khác mẫu số, ta có thể quy đồng mẫu số hai phân số đó, rồi so sánh các tử số của hai phân số mới.
Đáp án


Câu 3: Trang 37 sách VNEN toán 4
a) Đọc kĩ ví dụ sau và nói với bạn cách so sánh hai phân số có cùng tử số :
Ví dụ : So sánh hai phân số
\(\dfrac{3}{5} và \dfrac{3}{6}\).

Nhìn hình vẽ ta thấy :
\(\dfrac{3}{5} > \dfrac{3}{6} ; \dfrac{3}{6} < \dfrac{3}{5}\)
Trong hai phân số có cùng tử số :
• Phân số nào có mẫu số lớn hơn thì bé hơn.
• Phân số nào có mẫu số bé hơn thì lớn hơn.
So sánh hai phân số:
•
\(\dfrac{2}{{10}} và \dfrac{2}{7}\) ;
•
\(\dfrac{8}{{11}} và \dfrac{8}{9}\) ;
•
\(\dfrac{{10}}{{10}} và \dfrac{{10}}{7}\)
Đáp án
•
\(\dfrac{2}{{10}} < \dfrac{2}{7}\) (vì 10 > 7).
•
\(\dfrac{8}{{11}} < \dfrac{8}{9}\) (vì 11 > 9).
•
\(\dfrac{{10}}{{10}} < \dfrac{{10}}{7}\) (vì 10 > 7).
Câu 4: Trang 37 sách VNEN toán 4
Viết các phân số sau theo thứ tự từ bé đến lớn
a)
\(\dfrac{3}{5}\,\,;\,\,\,\dfrac{8}{5}\,\,;\,\,\,\dfrac{2}{5}\;\);
b)
\(\dfrac{5}{2}\,\,;\,\,\,\dfrac{1}{6}\,\,;\,\,\,\dfrac{4}{3} \cdot\)
Đáp án
a) So sánh các phân số đã cho ta có :
\(\dfrac{2}{5} < \dfrac{3}{5} < \dfrac{8}{5}\).
Vậy các phân số được viết theo thứ tự từ bé đến lớn là :
\(\dfrac{2}{5} \,\,;\,\,\, \dfrac{3}{5} \,\,;\,\,\, \dfrac{8}{5}.\)
b) Ta có:
\(\dfrac{5}{2} = \dfrac{{5 \times 3}}{{2 \times 3}} = \dfrac{{15}}{6}; \dfrac{4}{3} = \dfrac{{4 \times 2}}{{3 \times 2}} = \dfrac{8}{6}\)
Giữ nguyên phân số
\(\dfrac{1}{6}\).
So sánh các phân số ta có:
\(\dfrac{1}{6} < \dfrac{8}{6} < \dfrac{15}{6}\)
Hay:
\(\dfrac{1}{6} < \dfrac{4}{3} < \dfrac{5}{2}\)
Vậy các phân số được viết theo thứ tự từ bé đến lớn là:
\(\dfrac{1}{6} \,\,;\,\,\, \dfrac{4}{3} \,\,;\,\,\, \dfrac{5}{2}.\)
C. Hoạt động ứng dụng bài 71 Toán lớp 4 VNEN
Câu 1: Trang 38 sách VNEN toán 4
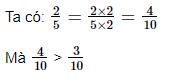
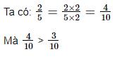
Bác Nam sử dụng 2/5 diện tích mảnh vườn để trồng rau, 3/10 diện tích mảnh vườn để trồng hoa. Hỏi diện tích trồng rau nhiều hơn hay diện tích đất trồng hoa nhiều hơn? Tại sao?
Đáp án

=> Diện tích mảnh vườn trồng rau nhiều hơn diện tích mảnh vườn trồng hoa.
Câu 2: Trang 38 sách VNEN toán 4
Với hai số tự nhiên 4 và 5, hãy viết:
a. Phân số bé hơn 1
b. Phân số lớn hơn 1
Đáp án
a. Phân số bé hơn 1: 4/5 (vì tử số bé hơn mẫu số)
b. Phân số lớn hơn 1: 5/4 (vì tử số lớn hơn mẫu số)
>> Bài tiếp theo: Giải Toán lớp 4 VNEN bài 72: Em ôn lại những gì đã học
D. Bài tập so sánh hai phân số khác mẫu
- Toán lớp 4 trang 122: So sánh hai phân số khác mẫu số
- Toán lớp 4 trang 122 Luyện tập so sánh hai phân số khác mẫu số
- Giải vở bài tập Toán 4 bài 109: So sánh hai phân số khác mẫu số
- Giải vở bài tập Toán 4 bài 110: Luyện tập So sánh hai phân số khác mẫu số
Ngoài giải bài tập Toán 4 VNEN, VnDoc còn giúp các bạn giải toán lớp 4 sách giáo khoa và bài tập tương ứng Giải bài tập trang 122 SGK Toán 4: So sánh hai phân số khác mẫu số. Các em học sinh hoặc quý phụ huynh còn có thể tham khảo thêm đề thi học kì 1 lớp 4 và đề thi học kì 2 lớp 4 các môn Toán, Tiếng Việt, Tiếng Anh, Khoa, Sử, Địa theo chuẩn thông tư 22 của bộ Giáo Dục. Những đề thi này được VnDoc.com sưu tầm và chọn lọc từ các trường tiểu học trên cả nước nhằm mang lại cho học sinh lớp 4 những đề ôn thi học kì chất lượng nhất. Mời các em cùng quý phụ huynh tải miễn phí đề thi về và ôn luyện.