Giải Toán lớp 4 VNEN bài 76: Phép trừ phân số (tiếp theo)
Giải Toán lớp 4 VNEN bài 76: Phép trừ phân số (tiếp theo) - Sách VNEN toán 4 tập 2 trang 47 bao gồm chi tiết lời giải cho từng bài tập giúp các em học sinh củng cố, rèn kỹ năng giải Toán Chương 4. Mời các em học sinh tham khảo lời giải hay sau đây.
Bài 76: Phép trừ phân số (tiếp theo)
A. Hoạt động cơ bản bài 76 Toán lớp 4 VNEN
1. Chơi trò chơi "đố bạn"
Em viết hai phân số có cùng mẫu số rồi đố bạn trừ hai phân số đó
Ví dụ:
![]()
Trả lời:

2. Thực hiện lần lượt các hoạt động sau: (Sgk)
Muốn trừ hai phân số khác mẫu số, ta quy đồng mẫu số hai phân số, rồi trừ hai phân số đó
3. Trừ hai phân số: 2/3 và 1/2
Trả lời:

B. Hoạt động thực hành bài 76 Toán lớp 4 VNEN
Câu 1: Trang 48 sách VNEN toán 4
Tính (theo mẫu):

Đáp án



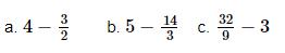
Câu 2: Trang 48 sách VNEN toán 4
Tính (theo mẫu):
![]()
Đáp án

Câu 3: Trang 48 sách VNEN toán 4
Một công viên có 5/8 diện tích đã trồng hoa và cây xanh, trong đó diện tích trồng hoa bằng 1/4 diện tích công viên. Hỏi diện tích trồng cây xanh bằng bao nhiêu phần diện tích của công viên?
Đáp án
Diện tích trồng cây xanh chiếm số phần diện tích của công viên là:
![]()
Đáp số: 3/8 phần
C. Hoạt động ứng dụng bài 76 Toán lớp 4 VNEN
Câu 1: Trang 49 sách VNEN toán 4
Em dành bao nhiêu phần thời gian của một ngày để học, bao nhiêu phần thời gian cho các hoạt động khác?
Ví dụ mẫu:
Một ngày:
· Em dành 3 thời gian trong ngày là để ngủ.
· Em dành 3 thời gian trong ngày để học ở trường
· Em dành 3 thời gian còn lại để học bài ở nhà, vui chơi, và giúp đỡ bố mẹ
Câu 2: Trang 49 sách VNEN toán 4
Bác thợ mộc làm một cái hộp gỗ hết 3/2 giờ, làm một khay gỗ hết 2/3 giờ. Hỏi thời gian bác làm cái hộp nhiều hơn làm cái khay là bao lâu?
Thời gian bác thợ mộc làm cái hộp nhiều hơn làm cái khay là:
![]()
Đáp số: 5/6 giờ
D. Bài tập Phép trừ phân số
- Toán lớp 4 trang 129: Phép trừ phân số
- Giải vở bài tập Toán 4 bài 118: Phép trừ phân số
- Bài tập Toán lớp 4: Phép trừ phân số
Ngoài giải bài tập Toán 4 VNEN, VnDoc còn giúp các bạn tham khảo thêm đề thi học kì 1 lớp 4 và đề thi học kì 2 lớp 4 các môn Toán, Tiếng Việt, Tiếng Anh, Khoa, Sử, Địa theo chuẩn thông tư 22 của bộ Giáo Dục.