Giải Toán lớp 4 VNEN bài 74: Phép cộng phân số (tiếp theo)
Giải Toán lớp 4 VNEN bài 74: Phép cộng phân số (tiếp theo) - Sách VNEN toán 4 tập 2 trang 42 bao gồm chi tiết lời giải cho từng bài tập giúp các em học sinh củng cố, rèn kỹ năng giải Toán Chương 4. Mời các em học sinh tham khảo lời giải hay sau đây.
>> Bài trước: Giải Toán lớp 4 VNEN bài 73: Phép cộng phân số
Bài 74 phép cộng phân số tiếp theo
A. Hoạt động cơ bản bài 74 Toán lớp 4 VNEN
1. Chơi trò chơi "đố bạn"
Em viết hai phân số có cùng mẫu số rồi đố bạn cộng hai phân số đó

Trả lời:

2. Thảo luận với bạn cách giải bài toán sau (sgk)
Có một băng giấy màu, bạn Linh lấy
\(\dfrac{1}{2}\)băng giấy, bạn Bình lấy
\(\dfrac{1}{3}\) băng giấy. Hỏi cả hai bạn đã lấy bao nhiêu phần băng giấy màu ?
b) Đọc kĩ hướng dẫn sau :
Ta phải thực hiện phép tính:
\(\dfrac{1}{2} + \dfrac{1}{3}\).
Ta cần đưa phép cộng này về phép cộng hai phân số có cùng mẫu số.
• Quy đồng mẫu số hai phân số :
\(\dfrac{1}{2} = \dfrac{{1 \times 3}}{{2 \times 3}} = \dfrac{3}{6}\,\,; \dfrac{1}{3} = \dfrac{{1 \times 2}}{{3 \times 2}} = \dfrac{2}{6}\,\).
• Cộng hai phân số:
\(\dfrac{1}{2} + \dfrac{1}{3} = \dfrac{3}{6} + \dfrac{2}{6} = \dfrac{5}{6}.\)
c) Đọc kĩ nội dung sau và nghe thầy/cô giáo hướng dẫn:
Muốn cộng hai phân số khác mẫu số, ta quy đồng mẫu số hai phân số, rồi cộng hai phân số đó.
Đáp án
a) Em thảo luận với bạn cách giải bài toán
b) Em đọc kĩ hướng dẫn
c) Em đọc kĩ nội dung trong sách và nghe thầy/cô giáo hướng dẫn.
3. Cộng hai phân số
a) Nói cách cộng hai phân số khác mẫu số với bạn.
b) Cộng hai phân số:
\(\dfrac{1}{2} và \dfrac{2}{3}\)
Đáp án
a) Cách cộng hai phân số khác mẫu số : Muốn cộng hai phân số khác mẫu số, ta quy đồng mẫu số hai phân số, rồi cộng hai phân số đó.
b)
\(\begin{array}{*{20}{l}}
{\dfrac{1}{2} = \dfrac{{1 \times 3}}{{2 \times 3}} = \dfrac{3}{6}}\\
{\dfrac{2}{3} = \dfrac{{2 \times 2}}{{3 \times 2}} = \dfrac{4}{6}}\\
\dfrac{1}{2} + \dfrac{2}{3} = {\dfrac{3}{6} + \dfrac{4}{6} = \dfrac{{3 + 4}}{6} = \dfrac{7}{6}}
\end{array}\)
B. Hoạt động ứng dụng bài 74 Toán lớp 4 VNEN
Câu 1: Trang 43 sách toán VNEN lớp 4 tập 2
Tính (theo mẫu):

Đáp án



Câu 2: Trang 44 sách VNEN toán 4
Rút gọn rồi tính (theo mẫu):

Đáp án

Câu 3: Trang 44 sách VNEN toán 4
Tính (theo mẫu):

Đáp án

Câu 4: Trang 44 sách VNEN toán 4
a. Một người đi xe máy giờ thứ nhất đi được 1/3 quãng đường, giờ thứ hai được 3/5 quãng đường. Hỏi cả hai giờ người đó đi được bao nhiêu phần quãng đường?
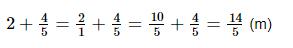
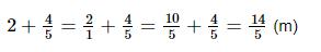
b. Một hình chữ nhật có chiều dài 2m và chiều rộng 4/5m. Tính nửa chu vi của hình chữ nhật đó?
Đáp án
a. Cả hai giờ người đó đi được số phần quãng đường là:
(quãng đường)
Đáp số: 14/15 quãng đường
b. Nửa chu vi của hình chữ nhật là:
![]()
Đáp số: 14/5 m
C. Hoạt động ứng dụng bài 74 Toán lớp 4 VNEN
Câu 1: Trang 44 sách VNEN toán 4
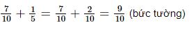
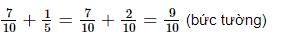
Chú Tùng sơn được
\(\frac{7}{10}\) bức tường. Bác Bình sơn được
\(\frac{1}{5}\) bức tường đó. Hỏi cả hai người sơn được bao nhiêu phần của bức tường?
Tóm tắt bài toán:
Chú Tùng:
\(\frac{7}{10}\) bức tường
Bác Bình:
\(\frac{1}{5}\) bức tường
Cả hai: ? bức tường
Bài giải:
Cả hai người sơn được số phần của bức tường là:
![]()
Đáp số:
\(\frac{9}{10}\)bức tường
>> Bài tiếp theo: Giải Toán lớp 4 VNEN bài 75: Phép trừ phân số
D. Bài tập Phép cộng phân số
- Bài tập Toán lớp 4: Phép cộng phân số
- Vở bài tập Toán lớp 4 bài 114 Phép cộng phân số
- Vở bài tập Toán lớp 4 bài 116: Luyện tập Phép cộng phân số
- Toán lớp 4 trang 126 Phép cộng phân số
- Toán lớp 4 trang 128: Luyện tập phép cộng phân số
- Toán lớp 4 trang 127 Phép cộng phân số (tiếp theo)
Ngoài giải bài tập Toán 4 VNEN, VnDoc còn giúp các bạn giải toán lớp 4 sách giáo khoa và bài tập tương ứng Giải bài tập trang 126 SGK Toán 4: Phép cộng phân số. Các em học sinh hoặc quý phụ huynh còn có thể tham khảo thêm đề thi học kì 1 lớp 4 và đề thi học kì 2 lớp 4 các môn Toán, Tiếng Việt, Tiếng Anh, Khoa, Sử, Địa theo chuẩn thông tư 22 của bộ Giáo Dục. Những đề thi này được VnDoc.com sưu tầm và chọn lọc từ các trường tiểu học trên cả nước nhằm mang lại cho học sinh lớp 4 những đề ôn thi học kì chất lượng nhất. Mời các em cùng quý phụ huynh tải miễn phí đề thi về và ôn luyện.