Toán lớp 4 trang 128: Luyện tập phép cộng phân số
Giải bài tập Toán lớp 4 trang 128 bài: Luyện tập phép cộng phân số bao gồm đáp án và hướng dẫn giải chi tiết cho từng bài tập giúp các em biết cách nhận biết phép cộng hai phân số cùng mẫu, khác mẫu, cách thực hiện phép tính 2 phân số cùng và khác mẫu số. Sau đây mời các em cùng tham khảo chi tiết lời giải.
Toán lớp 4 trang 128
- 1. Giải Toán lớp 4 trang 128 Bài 1
- 2. Giải Toán lớp 4 trang 128 Bài 2
- 3. Giải Toán lớp 4 trang 128 Bài 3
- 4. Giải Toán lớp 4 trang 128 Bài 4
- 5. Lý thuyết Phép cộng phân số lớp 4
- 6. Giải bài tập SGK Toán 4 phép Cộng phân số
- 7. Giải bài tập Toán 4 VNEN phép Cộng phân số
- 8. Giải Vở bài tập Toán 4 phép Cộng phân số
1. Giải Toán lớp 4 trang 128 Bài 1
Tính:
a)
\(\displaystyle\frac{2}{3}+\frac{5}{3}\);
b)
\(\displaystyle\frac{6}{5}+\frac{9}{5}\);
c)
\(\displaystyle\frac{12}{27}+\frac{7}{27}+\frac{8}{27}\)
Đáp án:
Nhắc lại lý thuyết: Muốn cộng hai phân số có cùng mẫu số ta cộng tử số với nhau còn mẫu số giữ nguyên.
Cộng ba phân số có cùng mẫu số làm tương tự như cộng hai phân số là cộng tử số với nhau còn mẫu số giữ nguyên.
Các em tính như sau:
a)
\(\displaystyle\frac{2}{3}+\frac{5}{3}= \frac{2+5}{3}=\frac{7}{3}\)
b)
\(\displaystyle\frac{6}{5}+\frac{9}{5}= \frac{6+9}{5}=\frac{15}{5}=3\)
c)
\(\displaystyle\frac{12}{27}+\frac{7}{27}+\frac{8}{27}= \frac{12+7+8}{27} = \dfrac{27}{27}=1\)
2. Giải Toán lớp 4 trang 128 Bài 2
Tính:
a)
\(\displaystyle\frac{3}{4}+\frac{2}7{}\)
b)
\(\displaystyle{5 \over {16}} + {3 \over 8}\)
c)
\(\displaystyle\frac{1}{3}+\frac{7}{5}\)
Đáp án:
Nhắc lại lý thuyết: Muốn cộng hai phân số có khác mẫu số đầu tiên ta phải quy đồng mẫu số hai phân số rồi cộng hai phân số đó.
Ta tính như sau:
a)
\(\displaystyle\frac{3}{4}+\frac{2}7{}\)
Bước 1: Quy đồng mẫu số:

Bước 2: Tính:

b)
\(\displaystyle{5 \over {16}} + {3 \over 8}\)
Tính:

c)
Bước 1: Quy đồng mẫu số:

Bước 2: Tính:

3. Giải Toán lớp 4 trang 128 Bài 3
Rút gọn rồi tính:
a)
\(\displaystyle\frac{3}{15}+\frac{2}{5};\)
b)
\(\displaystyle\frac{4}{6}+\frac{18}{27}\)
c)
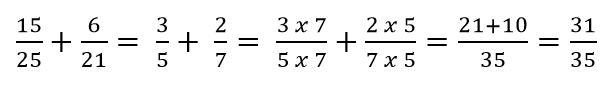
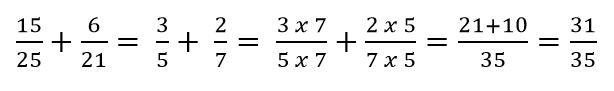
\(\displaystyle\frac{15}{25}+\frac{6}{21}\)
Gợi ý
Rút gọn các phân số thành phân số tối giản (nếu được) rồi thực hiện phép cộng hai phân số đó.
Đáp án:
a)
Bước 1: Rút gọn phân số:
\(\frac{3}{15}=\frac{3:3}{15:3}=\frac{1}{5}\)
Bước 2: Tính:

b)
Bước 1: Rút gọn phân số:

Bước 2: Tính:

c)
Bước 1: Rút gọn phân số:

Bước 2: Tính:

4. Giải Toán lớp 4 trang 128 Bài 4
Trong một buổi sinh hoạt, chi đội lớp 4A có
\(\frac{3}{7}\) số đội viên tập hát, và
\(\frac{2}{5}\) số đội viên tham gia đá bóng.
Hỏi số đội viên tham gia hai hoạt động trên bằng bao nhiêu phần số đội viên của chi đội?
Phương pháp giải:
Số phần đội viên tham gia hai hoạt động = số phần đội viên tham gia tập hát + số phần đội viên tham gia đá bóng.
Tóm tắt:
Lớp 4A
Có:
\(\frac{3}{7}\) đội viên tập hát
và:
\(\frac{2}{5}\) đội viên tham gia đá bóng
Hỏi số đội viên tham gia hai hoạt động trên?....
Đáp án
Tổng số đội viên tham gia tập hát và tham gia bóng đá bằng số phần số đội viên của chi đội là:
\(\displaystyle\frac{3}{7} +\frac{2}{5}= \frac{29}{35}\) (số đội viên của chi đội)
Đáp số:
\(\displaystyle \frac{29}{35}\) số đội viên.
>> Bài tiếp theo: Giải bài tập trang 128, 129 SGK Toán 4: Luyện tập phép cộng phân số (tiếp theo)
5. Lý thuyết Phép cộng phân số lớp 4
Phép cộng phân số có khác gì với phép cộng số tự nhiên. Làm thế nào để cộng hai phân số. Cách cộng hai phân số, ba phân số như thế nào? Dưới đây là các kiến thức cho các bạn cùng tham khảo áp dụng giải bài tập.
a) Phép cộng hai phân số có cùng mẫu số
Quy tắc: Muốn cộng hai phân số có cùng mẫu số, ta cộng hai tử số với nhau và giữ nguyên mẫu số.
\(Ví\ dụ:\ \frac{3}{8}+\frac{2}{8}=\frac{3+2}{8}=\frac{5}{8}.\)
b) Phép cộng hai phân số khác mẫu số
Quy tắc: Muốn cộng hai phân số khác mẫu số, ta quy đồng mẫu số hai phân số, rồi cộng hai phân số đó.
\(Ví\ dụ:\ \frac{1}{2}+\frac{1}{3}=\frac{3}{6}+\frac{2}{6}=\frac{5}{6}.\)
Chú ý: Khi thực hiện phép cộng hai phân số, nếu phân số thu được chưa tối giản thì ta rút gọn thành phân số tối giản.
>> Tham khảo chi tiết: Lý thuyết Phép cộng phân số
6. Giải bài tập SGK Toán 4 phép Cộng phân số
- Giải bài tập trang 126 SGK Toán 4: Phép cộng phân số
- Giải bài tập trang 127 SGK Toán 4: Phép cộng phân số (tiếp theo)
7. Giải bài tập Toán 4 VNEN phép Cộng phân số
- Giải Toán lớp 4 VNEN bài 73: Phép cộng phân số
- Giải Toán lớp 4 VNEN bài 74: Phép cộng phân số (tiếp theo)
8. Giải Vở bài tập Toán 4 phép Cộng phân số
- Giải vở bài tập SGK Toán 4 bài 114: Phép cộng phân số
- Giải vở bài tập Toán 4 bài 115: Phép cộng phân số (tiếp theo)
- Bài tập Phép cộng phân số lớp 4
...............................
Ngoài ra, các em học sinh hoặc quý phụ huynh còn có thể tham khảo thêm đề thi học kì 1 lớp 4 và đề thi học kì 2 lớp 4 các môn Toán, Tiếng Việt, Tiếng Anh, Khoa, Sử, Địa, Tin học theo chuẩn thông tư 22 của bộ Giáo Dục.