Giải vở bài tập Toán 4 bài 147: Tỉ lệ bản đồ
Vở bài tập Toán lớp 4 tập 2 bài 147
Giải vở bài tập Toán 4 bài 147: Tỉ lệ bản đồ là lời giải Vở bài tập Toán 4 tập 2 trang 77, 78 có đáp án chi tiết, cụ thể giúp các em học sinh hiểu ý nghĩa và hiểu được tỉ lệ bản đồ là gì, cách thực hiện để giải bài tập liên quan đến tỉ lệ bản đồ. Mời các em học sinh cùng tham khảo chi tiết.
Hướng dẫn giải bài tập 1, 2, 3, 4 trang 77, 78 Vở bài tập Toán lớp 4 tập 2
Vở bài tập toán lớp 4 tập 2 trang 77 - Câu 1
Viết vào chỗ chấm:

● Bản đồ Việt Nam được vẽ theo tỉ lệ là ............
● Độ dài 1cm trên bản đồ ứng với độ dài thật là ............
Phương pháp giải:
Quan sát bản đồ và dựa vào lí thuyết về tỉ lệ bản đồ để trả lời các câu hỏi
Đáp án
- Bản đồ Việt Nam được vẽ theo tỉ lệ là 1 : 10 000 000
- Độ dài 1cm trên bản đồ ứng với độ dài thật là: 10 000 000cm.
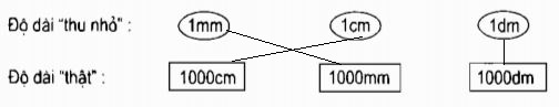
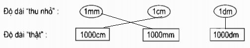
Vở bài tập toán lớp 4 tập 2 trang 77 - Câu 2
Nối tương ứng giữa độ dài "thu nhỏ" trên bản đồ tỉ lệ 1 : 1000 với “độ dài thật”:

Phương pháp giải:
Trên bản đồ tỉ lệ 1: 1000, độ dài 1mm ứng với độ dài thật là 1000mm.
Các câu khác làm tương tự.
Đáp án

Vở bài tập toán lớp 4 tập 2 trang 78 - Câu 3
Viết vào ô trống:
|
Tỉ lệ bản đồ |
1 : 1000 |
1 : 300 |
1 : 10 000 |
1 : 500 |
|
Độ dài thu nhỏ |
1mm |
1cm |
1dm |
|
|
Độ dài thật |
500m |
Phương pháp giải:
Trên bản đồ tỉ lệ 1: 1000, độ dài 1mm ứng với độ dài thật là 1000mm.
Các câu khác làm tương tự.
Đáp án
|
Tỉ lệ bản đồ |
1 : 1000 |
1 : 300 |
1 : 10 000 |
1 : 500 |
|
Độ dài thu nhỏ |
1mm |
1cm |
1dm |
1m |
|
Độ dài thật |
1000mm |
300cm |
10 000dm |
500m |
Vở bài tập toán lớp 4 tập 2 trang 78 - Câu 4
Đúng ghi Đ, sai ghi S:
Trên bản đồ tỉ lệ 1 : 10 000, quãng đường từ A đến B đo được 1dm. Như vậy độ dài thật của quãng đường AB là:

Phương pháp giải:
Trên bản đồ tỉ lệ 1: 10 000, độ dài 1dm ứng với độ dài thật là 10 000dm. Sau đó ta đổi số đo độ dài đó ra các đơn vị tương ứng khác.
Đáp án
Độ dài thật của quãng đường từ A đến B là:
1 × 10 000 = 10 000dm = 1km

>> Bài tiếp theo: Giải vở bài tập Toán 4 bài 148: Ứng dụng của tỉ lệ bản đồ
Bài tập Ứng dụng của tỉ lệ bản đồ
Bên cạnh đó, các em có thể tham khảo thêm: Lý thuyết Toán 4; Giải Toán lớp 4; Trắc nghiệm Toán lớp 4.
Tham khảo thêm: