Giải vở bài tập Toán 4 bài 160: Ôn tập về các phép tính với phân số
Vở bài tập Toán lớp 4 tập 2 bài 160
Giải vở bài tập Toán 4 bài 160: Ôn tập về các phép tính với phân số là lời giải Vở bài tập Toán 4 tập 2 trang 93, 94, 95 có đáp án chi tiết cho từng bài tập cho các em học sinh ôn tập các dạng bài tập về phép cộng trừ phân số, dạng Toán tìm X, toán có lời văn. Mời các em học sinh cùng tham khảo chi tiết.
>> Bài trước: Giải vở bài tập Toán 4 bài 159: Ôn tập về phân số
Hướng dẫn giải bài tập 1, 2, 3, 4, 5 trang 93, 94, 95 Vở bài tập Toán lớp 4 tập 2
Vở bài tập toán lớp 4 tập 2 trang 93 Câu 1
Tính:


Phương pháp giải:
- Muốn cộng (hoặc trừ) hai phân số cùng mẫu số ta cộng (hoặc trừ) hai tử số với nhau và giữ nguyên mẫu số.
- Muốn cộng (hoặc trừ) hai phân số khác mẫu số ta quy đồng mẫu số hai phân số rồi cộng (hoặc trừ) hai phân số đã quy đồng mẫu số
Đáp án


Vở bài tập toán lớp 4 tập 2 trang 93 Câu 2
Tính

Phương pháp giải:
Muốn cộng (hoặc trừ) hai phân số khác mẫu số ta quy đồng mẫu số hai phân số rồi cộng (hoặc trừ) hai phân số đã quy đồng mẫu số.
Đáp án

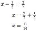
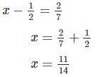
Vở bài tập toán lớp 4 tập 2 trang 94 Câu 3
Tìm x:
![]()
Phương pháp giải:
Áp dụng các quy tắc:
- Muốn tìm số hạng chưa biết ta lấy tổng trừ đi số hạng đã biết.
- Muốn tìm số bị trừ ta lấy hiệu cộng với số trừ.
Đáp án


Vở bài tập toán lớp 4 tập 2 trang 94 Câu 4
Diện tích một vườn hoa sử dụng như sau:

\(\frac34\) diện tích dùng để trồng hoa
\(\frac15\) diện tích vườn dùng để làm đường đi.
a) Diện tích phần còn lại để xây bể nước bằng bao nhiêu phần diện tích của vườn hoa?
b) Tính diện tích phần xây dựng bể nước, biết vườn hoa là hình chữ nhật có chiều dài là 20m, chiều rộng là 15m.
Phương pháp giải:
Coi diện tích vườn hoa là 1 đơn vị.
- Muốn tìm số phần diện tích bể nước so với diện tích vườn hoa ta lấy 1 trừ đi tổng số phần diện tích để trồng hoa và làm đường đi.
- Tính diện tích hình chữ nhật ta lấy chiều dài nhân với chiều rộng.
- Tính diện tích để xây bể nước ta lấy diện tích vườn hoa nhân với số phần diện tích bể nước so với diện tích vườn hoa.
Tóm tắt
Trồng hoa:
\(\frac34\) diện tích
Đường đi:
\(\frac15\) diện tích
Còn lại: ….? Diện tích
Bài giải
a) Coi diện tích vườn hoa là 1 đơn vị.
Diện tích để trồng hoa và làm đường đi chiếm số phần diện tích vườn hoa là:
\(\dfrac{3}{4} + \dfrac{1}{5} = \dfrac{19}{20}\) (diện tích vườn hoa)
Diện tích để xây bể nước chiếm số phần diện tích vườn hoa là là:
\(1 - \dfrac{19}{20} = \dfrac{1}{20}\) (diện tích vườn hoa)
b) Diện tích vườn hoa là:
20 x 15 = 300 (m2)
Diện tích để xây bể nước là:
\(300 \times \dfrac{1}{20} = 15 \;(m^2)\)
Đáp số: a)
\(\frac1{20}\) diện tích vườn hoa;
b) 15m2.
Vở bài tập toán lớp 4 tập 2 trang 95 Câu 5
Con sên thứ nhất trong 15 phút bò được
\(\frac25\) m. Con sên thứ hai trong
\(\frac14\) giờ bò được 45cm. Hỏi con sên nào bò nhanh hơn và bao nhiêu?
Phương pháp giải
Áp dụng cách chuyển đổi 1 giờ = 60 phút ; 1m = 100cm để đổi các số đo về cùng một đơn vị đo, sau đó tìm quãng đường mỗi con bò được rồi so sánh kết quả với nhau.

Bài giải
\(\frac14\) giờ = 15 phút;
\(\frac25\) m = 40cm
Con sên thứ nhất 15 phút bò được 40cm.
Con sên thứ hai 15 phút bò được 45cm.
Con sên thứ hai bò nhanh hơn con sên thứ nhất là 45 – 40 = 5(cm)
Đáp số: 5cm
>> Bài tiếp theo: Giải vở bài tập Toán 4 bài 161: Ôn tập về các phép tính với phân số (tiếp theo)
Giải vở bài tập Toán 4 bài 160: Ôn tập về các phép tính với phân số bao gồm lời giải chi tiết các phần và các bài luyện tập cho các em học sinh tham khảo, luyện tập giải dạng Toán về phép cộng trừ phân số, giải toán có lời văn về phân số, ôn tập Toán lớp 4 chương 6 Ôn tập cuối năm, chuẩn bị cho các bài thi cuối học kì 2 lớp 4.
Ngoài ra, các em học sinh lớp 4 còn có thể tham khảo Giải bài tập SGK Toán 4: Ôn tập về các phép tính với phân số hay đề thi học kì 2 lớp 4 mà VnDoc.com đã sưu tầm và chọn lọc. Hy vọng với những tài liệu này, các em học sinh sẽ học tốt môn Toán lớp 4 hơn mà không cần sách giải.
Đề thi học kì 2 lớp 4 Tải nhiều năm 2026
- Đề thi học kì 2 môn Toán lớp 4 Tải nhiều
- Đề thi học kì 2 môn Tiếng Việt lớp 4 Tải nhiều
- Đề thi học kì 2 lớp 4 môn tiếng Anh có đáp án
- Đề thi học kì 2 môn Khoa học lớp 4 Tải nhiều
- Đề thi học kì 2 môn Lịch sử - Địa lý lớp 4 Tải nhiều
- Đề thi học kì 2 môn Tin học lớp 4 Tải nhiều