Giải vở bài tập Toán 4 bài 127: Luyện tập Phép chia phân số
Giải vở bài tập Toán 4 bài 127: Luyện tập phép chia phân số là lời giải Vở bài tập Toán 4 tập 2 trang 48 có đáp án chi tiết cho mỗi bài tập giúp các em học sinh ôn tập lại những kiến thức căn bản của phép chia phân số cách thực hiện phép chia 2 phân số trong các dạng bài tập. Mời các em cùng tham khảo chi tiết.
Vở bài tập toán lớp 4 bài 127
Hướng dẫn giải bài tập 1, 2, 3, 4 trang 48 Vở bài tập (SBT) Toán lớp 4 tập 2
Vở bài tập toán lớp 4 bài 127 tập 2 - Câu 1
Tính rồi rút gọn
a)
\(\displaystyle {2 \over 5}:{2 \over 3}\)
b)
\(\displaystyle {4 \over 7}:{4 \over 5}\)
c)
\(\displaystyle {1 \over 6}:{1 \over 3}\)
d)
\(\displaystyle {1 \over 4}:{1 \over 8}\)
Phương pháp giải:
Muốn chia hai phân số ta lấy phân số thứ nhất nhân với phân số thứ hai đảo ngược.
Đáp án
a)
\(\displaystyle {2 \over 5}:{2 \over 3} = {2 \over 5} \times {3 \over 2} = {6 \over {10}} = {3 \over 5}\)
b)
\(\displaystyle {4 \over 7}:{4 \over 5} = {4 \over 7} \times {5 \over 4} = {{20} \over {28}} = {5 \over 7}\)
c)
\(\displaystyle {1 \over 6}:{1 \over 3} = {1 \over 6} \times {3 \over 1} = {3 \over 6} = {1 \over 2}\)
d)
\(\displaystyle {1 \over 4}:{1 \over 8} = {1 \over 4} \times {8 \over 1} = {8 \over 4} = 2\)
Vở bài tập toán lớp 4 bài 127 tập 2 - Câu 2
Tìm x:
a)
\(\displaystyle {3 \over 8} \times x = {4 \over 7}\)
b)
\(\displaystyle {1 \over 7}:x = {1 \over 3}\)
Phương pháp giải:
a) x ở vị trí thừa số chưa biết. Muốn tìm thừa số chưa biết ta lấy tích chia cho thừa số đã biết.
b) x ở vị trí số chia. Muốn tìm số chia ta lấy số bị chia chia cho thương.
Lời giải chi tiết:
\(\eqalign{
& a)\,\,\,{3 \over 8} \times x = {4 \over 7} \cr
& \,\,\,\,\,\,\,\,\,\,\,\,\,\,\,\,\,\,\,\,\,\,x = {4 \over 7}:{3 \over 8} \cr
& \,\,\,\,\,\,\,\,\,\,\,\,\,\,\,\,\,\,\,\,\,\,x = {{32} \over {21}} \cr}\)
\(\eqalign{
& b)\,\,{1 \over 7}:x = {1 \over 3} \cr
& \,\,\,\,\,\,\,\,\,\,\,\,\,\,\,\,\,\,x = {1 \over 7}:{1 \over 3} \cr
& \,\,\,\,\,\,\,\,\,\,\,\,\,\,\,\,\,\,x = {3 \over 7} \cr}\)
Vở bài tập toán lớp 4 bài 127 tập 2 - Câu 3
Một hình bình hành có diện tích
\(\frac{1}{6}\) m2. Chiều cao
\(\frac{1}{3}\) m. Tính độ dài đáy của hình bình hành.
Tóm tắt

![]()
Giải
Độ dài cạnh đáy là:
![]()
Đáp số:
\(\frac{1}{2}\) m
Vở bài tập toán lớp 4 bài 127 tập 2 - Câu 4
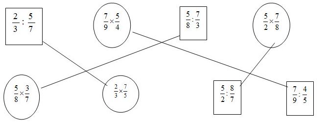
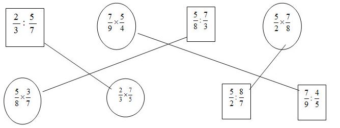
Nối phép chia và nhân (theo mẫu)

Phương pháp giải:
Muốn chia hai phân số ta lấy phân số thứ nhất nhân với phân số thứ hai đảo ngược.
Đáp án

Bài tập phép chia phân số
Video Giải Toán lớp 4 trang 136
Trắc nghiệm Phép chia phân số
Ngoài ra, các em học sinh lớp 4 còn có thể tham khảo thêm:
- Giải bài tập SGK Toán 4: Phép chia phân số .
- Giải vở bài tập Toán 4 bài 126: Phép chia phân số
- Giải Toán lớp 4 VNEN bài 81: Phép chia phân số