Toán lớp 4 trang 131: Luyện tập phép trừ phân số
Luyện tập phép trừ phân số
- Toán lớp 4 Bài 1 trang 131 SGK Toán 4 tập 2
- Toán lớp 4 Bài 2 trang 131 SGK Toán 4 tập 2
- Toán lớp 4 Bài 3 trang 131 SGK Toán 4 tập 2
- Toán lớp 4 Bài 4 trang 131 SGK Toán 4 tập 2
- Toán lớp 4 Bài 5 trang 131 SGK Toán 4 tập 2
- Lý thuyết Phép trừ phân số
- Bài tập phép trừ phân số
- Trắc nghiệm Toán 4: Phép trừ phân số
Giải bài tập trang 131 SGK Toán 4: Luyện tập phép trừ phân số bao gồm đáp án và hướng dẫn giải chi tiết giúp các em biết cách nhận biết phép trừ hai phân số cùng mẫu và khác mẫu, cách thực hiện phép tính trừ 2 phân số cùng mẫu số và khác mẫu. Sau đây mời các em cùng tham khảo chi tiết lời giải hay tham khảo cho bài tập sách giáo khoa môn Toán lớp 4 dưới đây.
ÔN LẠI KIẾN THỨC:
- Muốn trừ hai phân số khác mẫu số, ta quy đồng mẫu số hai phân số rồi trừ hai phân số đó.
- Muốn trừ hai phân số có cùng mẫu số, ta trừ tử số của phân số thứ nhất cho tử số của phân số thứ hai và giữ nguyên mẫu số.
Toán lớp 4 Bài 1 trang 131 SGK Toán 4 tập 2
Tính:
a)
\(\dfrac{8}{3}-\dfrac{5}{3}\);
b)
\(\dfrac{16}{5}-\dfrac{9}{5}\)
c)
\(\dfrac{21}{8}-\dfrac{3}{8}\)
Phương pháp giải:
Muốn trừ hai phân số cùng mẫu số, ta trừ tử số của phân số thứ nhất cho tử số của phân số thứ hai và giữ nguyên mẫu số.
Đáp án:
a) Tính:

b) Tính:

c) Tính:

Toán lớp 4 Bài 2 trang 131 SGK Toán 4 tập 2
Tính:
a)
\(\dfrac{3}{4}-\dfrac{2}{7}\);
b)
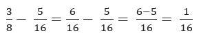
\(\dfrac{3}{8}-\dfrac{5}{16}\);
c)
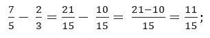
\(\dfrac{7}{5}-\dfrac{2}{3}\)
d)
\(\dfrac{31}{36}-\dfrac{5}{6}\)
Phương pháp giải:
Muốn trừ hai phân số khác mẫu số, ta quy đồng mẫu số của hai phân số, rồi trừ hai phân số đó.
Đáp án:
a) Tính:

b) Tính:

c) Tính:

d) Tính:

Toán lớp 4 Bài 3 trang 131 SGK Toán 4 tập 2
Tính (theo mẫu) :
Mẫu:
\(2-\dfrac{3}{4}= \dfrac{8}{4}-\dfrac{3}{4}= \dfrac{5}{4}\)
a)
\(2-\dfrac{3}{2}\);
b)
\(5-\dfrac{14}{3}\);
c)
\(\dfrac{37}{12}- 3\)
Phương pháp giải:
Viết số tự nhiên dưới dạng phân số thích hợp rồi thực hiện phép trừ hai trừ hai phân số như thông thường.
Đáp án:
a)
\(2-\dfrac{3}{2}= \dfrac{4}{2}-\dfrac{3}{2}= \dfrac{1}{2}\)
b)
\(5-\dfrac{14}{3}= \dfrac{15}{3}-\dfrac{14}{3}= \dfrac{1}{3}\)
c)
\(\dfrac{37}{12}- 3= \dfrac{37}{12}-\dfrac{36}{12}=\dfrac{1}{12}\)
Toán lớp 4 Bài 4 trang 131 SGK Toán 4 tập 2
Rút gọn rồi tính:
a)
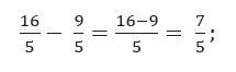
\(\dfrac{3}{15}-\dfrac{5}{35}\);
b)
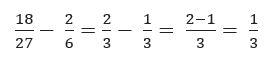
\(\dfrac{18}{27}-\dfrac{2}{6}\);
c)
\(\dfrac{15}{25}-\dfrac{3}{21}\);
d)
\(\dfrac{24}{36}-\dfrac{6}{12}\)
Phương pháp giải:
Rút gọn các phân số thành phân số tối giản (nếu được), sau đó thực hiện phép trừ hai phân số như thông thường.
Đáp án:
a) Rút gọn:

Tính:

b) Rút gọn:

Tính:

c) Rút gọn:

Tính:

d) Rút gọn:

Tính:

Toán lớp 4 Bài 5 trang 131 SGK Toán 4 tập 2
Trong một ngày thời gian để học và ngủ của bạn Nam là
\(\frac{5}{8}\) ngày, trong đó thời gian học của Nam là
\(\frac{1}{4}\) ngày. Hỏi thời gian ngủ của bạn Nam là bao nhiêu phần của một ngày?
Phương pháp giải:
Thời gian ngủ của bạn Nam trong một ngày = thời gian để học và ngủ của Nam - thời gian học của Nam.
Đáp án:
Thời gian ngủ của bạn Nam chiếm số phần của một ngày là:
![]()
Đáp số:
\(\frac{3}{8}\)ngày
Bài tiếp theo: Giải bài tập trang 131, 132 SGK Toán 4: Luyện tập chung
.....................
Lý thuyết Phép trừ phân số
1. Phép trừ hai phân số Toán lớp 4
a) Phép trừ hai phân số có cùng mẫu số
Quy tắc: Muốn trừ hai phân số có cùng mẫu số, ta trừ tử số của phân số thứ nhất cho mẫu số của phân số thứ hai và giữ nguyên mẫu số.
\(Ví\ dụ:\ \frac{5}{6}-\frac{3}{6}=\frac{5-3}{6}=\frac{2}{6}=\frac{1}{3}.\)
b) Phép trừ hai phân số khác mẫu số
Quy tắc: Muốn trừ hai phân số khác mẫu số, ta quy đồng mẫu số hai phân số, rồi trừ hai phân số đó.
\(Ví\ dụ:\ \frac{4}{5}-\frac{2}{3}=\frac{12}{15}-\frac{10}{15}=\frac{2}{15}.\)
Chú ý: Khi thực hiện phép trừ hai phân số, nếu phân số thu được chưa tối giản thì ta rút gọn thành phân số tối giản.
2. Một số dạng bài tập Trừ phân số
Dạng 1: Tính hiệu của hai phân số
Phương pháp: Áp dụng quy tắc trừ hai phân số.
Dạng 2: Tính giá trị các biểu thức:
Áp dụng các quy tắc tính giá trị biểu thức như ưu tiên tính trong ngoặc trước, thực hiện phép tính nhân, chia trước, phép cộng trừ sau …
Dạng 3: So sánh
Phương pháp: Tính giá trị các biểu thức, sau đó áp dụng các quy tắc so sánh phân số.
Dạng 4: Tìm x
Phương pháp giải: Xác định xem x đóng vai trò nào, từ đó tìm được x theo các quy tắc đã học lớp lớp 3.
Dạng 5: Toán có lời văn
Toán có lời văn
Xem kỹ lý thuyết tại: Lý thuyết Phép trừ phân số
Bài tập phép trừ phân số
- Giải bài tập trang 129 SGK Toán 4: Phép trừ phân số
- Giải bài tập trang 130 SGK Toán 4: Phép trừ phân số (tiếp theo)
- Bài tập Phép trừ phân số lớp 4
- Giải Toán lớp 4 VNEN bài 75: Phép trừ phân số
- Giải Toán lớp 4 VNEN bài 76: Phép trừ phân số (tiếp theo)