Giải vở bài tập Toán 4 bài 159: Ôn tập về phân số
Vở bài tập Toán lớp 4 tập 2 bài 159
Giải vở bài tập Toán 4 bài 159: Ôn tập về phân số trang 92, 93 là lời giải Vở bài tập Toán 4 tập 2 có đáp án chi tiết giúp các em học sinh ôn tập nắm chắc các dạng bài tập quy đồng, rút gọn phân số, sắp xếp số thứ tự các phân số. Mời các em học sinh cùng tham khảo chi tiết.
Bài trước: Giải vở bài tập Toán 4 bài 158: Ôn tập về biểu đồ
Hướng dẫn giải bài tập 1, 2, 3, 4, 5 trang 92, 93 Vở bài tập Toán lớp 4 tập 2
Vở bài tập toán lớp 4 tập 2 trang 92 Câu 1
Nối phân số 2/5 với hình biểu thị phân số đó

Phương pháp giải:
Quan sát hình vẽ và tìm phân số chỉ số phần tô màu của từng hình.
Đáp án

Vở bài tập toán lớp 4 tập 2 trang 92 Câu 2
Viết tiếp vào ô trống:

Phương pháp giải:
Quan sát hình vẽ và điền phân số thích hợp vào chỗ chấm.
Đáp án

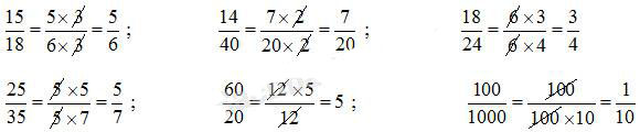
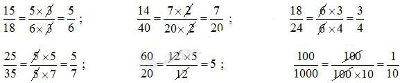
Vở bài tập toán lớp 4 tập 2 trang 93 Câu 3
Rút gọn phân số:

Phương pháp giải:
Khi rút gọn phân số có thể làm như sau:
- Xét xem tử số và mẫu số cùng chia hết cho số tự nhiên nào lớn hơn .
- Chia tử số và mẫu số cho số đó.
Cứ làm như thế cho đến khi nhận được phân số tối giản.
Đáp án

Vở bài tập toán lớp 4 tập 2 trang 93 Câu 4
Quy đồng mẫu số các phân số:
a)
\(\displaystyle {3 \over 5}\)và
\(\displaystyle {4 \over 7}\)
b)
\(\displaystyle {1 \over 4};{1 \over 5}\) và
\(\displaystyle {1 \over 2}\)
Phương pháp giải:
Khi quy đồng mẫu số hai phân số có thể làm như sau:
- Lấy tử số và mẫu số của phân số thứ nhất nhân với mẫu số của phân số thứ hai.
- Lấy tử số và mẫu số của phân số thứ hai nhân với mẫu số của phân số thứ nhất.
Đáp án
a)
\(\displaystyle {3 \over 5} và \displaystyle {4 \over 7}\)
\(\displaystyle \eqalign{ & {3 \over 5} = {{3 \times 7} \over {5 \times 7}} = {{21} \over {35}} \cr& {4 \over 7} = {{4 \times 5} \over {7 \times 5}} = {{20} \over {35}} \cr}\)
b)
\(\displaystyle {1 \over 4};{1 \over 5} và\displaystyle {1 \over 2}\)
\(\displaystyle \eqalign{& {1 \over 4} = {{1 \times 5} \over {4 \times 5}} = {5 \over {20}} \cr & {1 \over 5} = {{1 \times 4} \over {5 \times 4}} = {4 \over {20}} \cr & {1 \over 2} = {{1 \times 10} \over {2 \times 10}} = {{10} \over {20}} \cr}\)
Vở bài tập toán lớp 4 tập 2 trang 93 Câu 5
Sắp xếp các phân số theo thứ tự từ bé đến lớn:
\(\displaystyle {1 \over 3};{1 \over 6};{2 \over 5};{3 \over 2}\)
Phương pháp giải:
So sánh các phân số đã cho rồi sắp xếp các phân số theo thứ tự từ bé đến lớn.
Đáp án
Nhận xét:
\(\dfrac{1}{3} < 1 ; \dfrac{1}{6} < 1 và \dfrac{1}{6}< \dfrac{1}{3}\) ;
\(\dfrac{5}{2} > 1 ; \dfrac{3}{2} > 1 và \dfrac{3}{2} < \dfrac{5}{2}\).
Do đó:
\(\dfrac{1}{6} < \dfrac{1}{3}<\dfrac{3}{2} < \dfrac{5}{2}\).
Vậy các phân số đã cho xếp theo thứ tự tăng dần là :
\(\displaystyle{1 \over 6}\;;\;\;{1 \over 3}\;;\;\;{3 \over 2}\;;\;\;{5 \over 2}\).
>> Bài tiếp theo: Giải vở bài tập Toán 4 bài 160: Ôn tập về các phép tính với phân số
Giải vở bài tập Toán lớp 4 tập 2 bài 159: Ôn tập về phân số bao gồm lời giải và phương pháp giải chi tiết các câu hỏi cho các em học sinh tham khảo, luyện tập giải các dạng toán về đọc viết phân số, rút gọn phân số, quy đồng phân số, hệ thống lại các kiến thức toàn bộ chương 6 lớp 4. Hy vọng với những tài liệu này, các em học sinh sẽ học tốt môn Toán lớp 4 cũng nắm chắc lý thuyết Toán 4 cũng như các bài giải SGK Toán 4 hơn mà không cần sách giải.
Ngoài ra, các em học sinh lớp 4 còn có thể tham khảo Giải bài tập SGK Toán 4: Ôn tập về phân số hay đề thi học kì 2 lớp 4 các môn học Toán, Tiếng Việt, Khoa học, Lịch sử, Địa lý mà VnDoc.com đã sưu tầm và chọn lọc. Hy vọng với những tài liệu này, các em học sinh sẽ học tốt môn Toán lớp 4 hơn mà không cần sách giải.
Đề thi học kì 2 lớp 4 Tải nhiều
- Đề thi học kì 2 môn Toán lớp 4 Tải nhiều
- Đề thi học kì 2 môn Tiếng Việt lớp 4 Tải nhiều
- Đề thi học kì 2 lớp 4 môn tiếng Anh có đáp án
- Đề thi học kì 2 môn Khoa học lớp 4 Tải nhiều
- Đề thi học kì 2 môn Lịch sử - Địa lý lớp 4 Tải nhiều
- Đề thi học kì 2 môn Tin học lớp 4 Tải nhiều