Giải vở bài tập Toán 4 bài 173: Luyện tập chung chương 6
Giải vở bài tập Toán lớp 4 tập 2 bài 173
Giải vở bài tập Toán 4 bài 173: Luyện tập chung (tiếp theo) là lời giải Vở bài tập Toán 4 tập 2 trang 113, 114 có đáp án và hướng dẫn giải chi tiết cho các em học sinh ôn tập, hệ thống lại toàn bộ kiến thức đã học môn Toán trong phạm vi lớp 4, ôn tập cuối năm học. Mời các em học sinh cùng tham khảo chi tiết.
Bài trước: Giải vở bài tập Toán 4 bài 172: Luyện tập chung chương 6
Hướng dẫn giải bài tập 1, 2, 3, 4, 5 trang 113, 114 Vở bài tập (SBT) Toán lớp 4 tập 2
Vở bài tập toán lớp 4 tập 2 trang 113 Câu 1
Bài 1 trang 113 VBT Toán 4 Tập 2: Viết số thích hợp vào ô trống (theo mẫu)
|
Số |
12 856 |
489 726 |
801 205 |
68 224 |
|
Giá trị của chữ số 8 |
800 |
Phương pháp giải
Để xác định giá trị của chữ số ta cần xác định hàng của chúng. Các chữ số của một số theo thứ tự từ phải sang trái lần lượt là hàng đơn vị, hàng chục, hàng trăm, hàng nghìn, hàng chục nghìn, ....
Lời giải
|
Số |
12 856 |
489 726 |
801 205 |
68 224 |
|
Giá trị của chữ số 8 |
800 |
80 000 |
80 000 |
8 000 |
Vở bài tập toán lớp 4 tập 2 trang 114 Câu 2
Đặt tính rồi tính
a) 52749 + 38426
b) 94802 – 45316
c) 417 × 352
d) 95150 : 27
Phương pháp giải
- Muốn cộng hoặc trừ hai số tự nhiên ta đặt tính sao cho các chữ số ở cùng một hàng thẳng cột với nhau, sau đó tính theo thứ tự từ phải sang trái.
- Muốn nhân hai số tự nhiên ta đặt tính rồi tính sao cho các chữ số ở cùng một hàng thẳng cột với nhau, sau đó tính theo thứ tự từ phải sang trái.
- Muốn chia hai số tự nhiên ta đặt tính theo cột dọc rồi chia theo thứ tự từ trái sang phải.
Lời giải


Vở bài tập toán lớp 4 tập 2 trang 114 Câu 3
Điền dấu “<, >, =” vào chỗ chấm:
\(\dfrac{5}{8}....\dfrac{8}{{11}}\)
\(\dfrac{7}{9}....\dfrac{5}{8}\)
\(\dfrac{{12}}{{18}}....\dfrac{{18}}{{27}}\)
\(\dfrac{{25}}{{36}}....\dfrac{{25}}{{63}}\)
Phương pháp giải
Muốn so sánh hai phân số khác mẫu số ta quy đồng mẫu số hai phân số rồi so sánh hai phân số sau khi quy đồng.
Lời giải
• Ta có:
\(\dfrac{5}{8} = \dfrac{{5 \times 11}}{{8 \times 11}} = \dfrac{{55}}{{88}}\;\);
\(\dfrac{8}{{11}} = \dfrac{{8 \times 8}}{{11 \times 8}} = \dfrac{{64}}{{88}}\)
Mà:
\(\dfrac{{55}}{{88}}< \dfrac{{64}}{{88}}\).
Vậy
\(\dfrac{5}{8} < \dfrac{8}{{11}}.\)
• Ta có :
\(\dfrac{7}{9} = \dfrac{{ 7\times 8}}{{ 9\times 8}} = \dfrac{{56}}{{72}}\;\);
\(\dfrac{5}{{8}} = \dfrac{{ 5\times 9}}{{ 8\times 9}} = \dfrac{{45}}{{72}}\)
Mà:
\(\dfrac{{56}}{{72}}> \dfrac{{45}}{{72}}\).
Vậy
\(\dfrac{7}{9} > \dfrac{5}{{8}}\).
• Ta có:
\(\dfrac{12}{18} = \dfrac{{ 12:6 }}{{ 18:6 }} = \dfrac{{2}}{{3}}\;\);
\(\dfrac{18}{{27}} = \dfrac{{ 18:9 }}{{ 27:9 }} = \dfrac{{2}}{{3}}\)
Mà:
\(\dfrac{{2}}{{3}}=\dfrac{{2}}{{3}}\). Vậy
\(\dfrac{12}{18} = \dfrac{18}{{27}}\).
• Ta có: 36 > 63. Vậy
\(\dfrac{25}{36} >\dfrac{25}{{63}}\).
Vở bài tập toán lớp 4 tập 2 trang 114 Câu 4
Một thửa ruộng hình chữ nhật có chiều dài là 200m, chiều rộng bằng 3/5 chiều dài. Người ta cấy lúa ở đó, tính ra cứ 100m2 thu hoạch được 55kg thóc. Hỏi đã thu hoạch được ở thửa ruộng đó bao nhiêu ta thóc?
Lời giải
Chiều rộng hình chữ nhật là: 200 : 5 × 3 = 120 (m)
Diện tích thửa ruộng đó là: 120 × 200 = 24000 (m)
Số ki-lô-gam thóc thu được ở thửa ruộng đó là:
24000 × 55 : 100 = 13200 (kg)
13200kg = 132 tạ
Đáp số: 132 tạ
Vở bài tập toán lớp 4 tập 2 trang 114 Câu 5
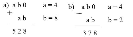
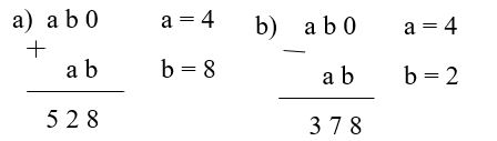
Tìm giá trị số của a và b, biết:

Lời giải
a) • Hàng đơn vị : 0 + b = 8 nên b = 8.
• Hàng chục : 8 + a = 12 nên a = 4 (nhớ 1).
• Hàng trăm: 4 nhớ 1 bằng 5 (đúng)
Vậy a= 4; b= 8.
b) • b khác 0, vì nếu b = 0 thì 0 trừ 0 bằng 0 (khác 8).
• Do đó phải lấy 10 - b = 8, vậy b = 2, nhớ 1 sang a.
• Ta có 12 trừ a + 1 bằng 7 nên a + 1 = 12 - 7, hay a + 1 = 5 hay a = 4.
(Do 2 không trừ được (a + 1) để được hiệu là 7).
Do đó a= 4; b= 2.
Vậy ta có kết quả như sau :

>> Bài tiếp theo: Giải vở bài tập Toán 4 bài 174: Luyện tập chung chương 6 (tiếp theo)
Ngoài ra, các em học sinh lớp 4 còn có thể tham khảo Giải bài tập SGK Toán 4: Luyện tập chung chương 6 hay đề thi học kì 2 lớp 4 mà VnDoc.com đã sưu tầm và chọn lọc. Hy vọng với những tài liệu này, các em học sinh sẽ học tốt môn Toán lớp 4 hơn mà không cần sách giải.