Toán lớp 4 trang 131, 132 Luyện tập chung
Toán lớp 4 trang 131, 132
- Toán lớp 4 luyện tập chung trang 131 Bài 1
- Toán lớp 4 luyện tập chung trang 131 Bài 2
- Toán lớp 4 luyện tập chung trang 131 Bài 3
- Toán lớp 4 luyện tập chung trang 132 Bài 4
- Toán lớp 4 luyện tập chung trang 132 Bài 5
- Lý thuyết Phép cộng trừ phân số lớp 4
- Bài tập Phép cộng, trừ phân số
- Trắc nghiệm Phép cộng, trừ phân số
Toán lớp 4 trang 131, 132: Luyện tập chung bao gồm đáp án và hướng dẫn giải chi tiết. Lời giải hay bài tập Toán 4 này sẽ giúp các em học sinh ôn tập, củng cố kiến thức, rèn luyện kỹ năng giải Toán các dạng bài về phép trừ phân số và phép cộng phân số. Sau đây mời các em cùng tham khảo chi tiết lời giải hay tham khảo cho bài tập môn Toán lớp 4 chúng tôi sưu tầm được.
Toán lớp 4 luyện tập chung trang 131 Bài 1
Tính:
a)
\(\dfrac{2}{3}+\dfrac{5}{4};\)
b)
\(\dfrac{3}{5}+\dfrac{9}{8}\);
c)
\(\dfrac{3}{4}-\dfrac{2}{7}\);
d)
\(\dfrac{11}{5}-\dfrac{4}{3}\).
Phương pháp giải:
Muốn cộng (hoặc trừ) hai phân số khác mẫu số, ta quy đồng mẫu số của hai phân số, rồi cộng (hoặc trừ) hai phân số đó.
Đáp án:
a) Tính:

b) Tính:

c) Tính:

d) Tính:

Toán lớp 4 luyện tập chung trang 131 Bài 2
Tính:
a)
\(\dfrac{4}{5}+\dfrac{17}{25}\);
b)
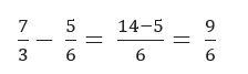
\(\dfrac{7}{3}-\dfrac{5}{6}\) ;
c)
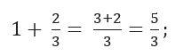
\(1+\dfrac{2}{3}\)
d)
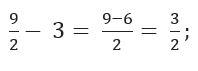
\(\dfrac{9}{2}-3\)
Phương pháp giải:
- Muốn cộng (hoặc trừ) hai phân số khác mẫu số, ta quy đồng mẫu số của hai phân số, rồi cộng (hoặc trừ) hai phân số đó.
- Viết số tự nhiên dưới dạng phân số thích hợp, sau đó thực hiện phép cộng (hoặc phép trừ) hai phân số như thông thường.
Đáp án:
a)

b)

c)

d)

Toán lớp 4 luyện tập chung trang 131 Bài 3
Tìm x:
a)
\(\;x+\dfrac{4}{5} =\dfrac{3}{2}\)
b)
\(\;x-\dfrac{3}{2} =\dfrac{11}{4}\)
c)
\(\;\dfrac{25}{3} -x=\dfrac{5}{6}\)
Phương pháp giải:
Áp dụng các quy tắc:
- Muốn tìm số hạng chưa biết ta lấy tổng trừ đi số hạng đã biết.
- Muốn tìm số bị trừ ta lấy hiệu cộng với số trừ.
- Muốn tìm số trừ ta lấy số bị trừ trừ đi hiệu.
Đáp án:
a)
\(x+\dfrac{4}{5} =\dfrac{3}{2}\)
x =
\(\dfrac{3}{2} -\dfrac{4}{5}\)
x =
\(\dfrac{7}{10}\)
b)
\(x-\dfrac{3}{2} =\dfrac{11}{4}\)
\(x=\dfrac{11}{4}+\dfrac{3}{2}\)
\(x =\dfrac{7}{4}\)
c)
\(\dfrac{25}{3} -x=\dfrac{5}{6}\)
x=
\(\dfrac{25}{3} -\dfrac{5}{6}\)
x =
\(\dfrac{45}{6} = \dfrac{15}{2}\)
Toán lớp 4 luyện tập chung trang 132 Bài 4
Rút gọn rồi tính:
a)
\(\dfrac{12}{17} +\dfrac{19}{17}+\dfrac{8}{17}\);
b)
\(\dfrac{2}{5} +\dfrac{7}{12}+\dfrac{13}{12}\)
Phương pháp giải:
Áp dụng tính chất giao hoán và kết hợp của phép cộng để nhóm các phân số thích hợp lại với nhau.
Đáp án:
a)
a)
\(\dfrac{12}{17} +\dfrac{19}{17}+\dfrac{8}{17}\)
=
\(\left( \dfrac{12}{17} +\dfrac{8}{17} \right) +\dfrac{19}{17}\)
=
\(\dfrac{20}{17}+\dfrac{19}{17}= \dfrac{39}{17}\)
b)
\(\dfrac{2}{5} +\dfrac{7}{12}+\dfrac{13}{12}\)
=
\(\dfrac{2}{5} + \left(\dfrac{7}{12}+\dfrac{13}{12}\right)\)
=
\(\dfrac{2}{5} +\dfrac{20}{12} = \dfrac{2}{5} +\dfrac{5}{3}\)
=
\(\dfrac{6}{15}+\dfrac{25}{15}= \dfrac{31}{15}\)
Toán lớp 4 luyện tập chung trang 132 Bài 5
Trong một giờ học tự chọn, lớp 4A có
\(\frac{2}{5}\) số học sinh học Tiếng Anh và
\(\frac{3}{7}\) số học sinh học Tin học. Hỏi số học sinh học Tin học và Tiếng Anh bằng bao nhiêu phần tổng số học sinh cả lớp?
Phương pháp giải:
Số học sinh học Tin học và Tiếng Anh = số học sinh học Tiếng Anh + số học sinh học Tin học.
Tóm tắt
Tiếng Anh:
\(\dfrac{2}{5}\) số học sinh
Tin học:
\(\dfrac{3}{7}\) số học sinh
Cả hai môn: ... số học sinh?
Đáp án:
Số học sinh học Tin học và Tiếng Anh bằng số phần tổng số học sinh cả lớp là:
\(\dfrac{2}{5} +\dfrac{3}{7}=\dfrac{29}{35}\) (số học sinh cả lớp)
Đáp số:
\(\frac{29}{35}\) số học sinh cả lớp.
>> Bài tiếp theo: Toán lớp 4 trang 133: Phép nhân phân số
Lý thuyết Phép cộng trừ phân số lớp 4
Phép trừ phân số:
- Muốn trừ hai phân số khác mẫu số, ta quy đồng mẫu số hai phân số rồi trừ hai phân số đó.
- Muốn trừ hai phân số có cùng mẫu số, ta trừ tử số của phân số thứ nhất cho tử số của phân số thứ hai và giữ nguyên mẫu số.
Chi tiết: Lý thuyết Phép trừ phân số
Phép cộng phân số:
- Muốn cộng hai phân số khác mẫu số, ta quy đồng mẫu số hai phân số rồi cộng hai phân số đó.
- Muốn cộng hai phân số có cùng mẫu số, ta cộng tử số của phân số thứ nhất với tử số của phân số thứ hai và giữ nguyên mẫu số.
Chi tiết: Lý thuyết Phép cộng phân số
Bài tập Phép cộng, trừ phân số
Giải bài tập phép cộng phân số
- Bài tập Toán lớp 4: Phép cộng phân số
- Giải Toán lớp 4 VNEN bài 73: Phép cộng phân số
- Giải Toán lớp 4 VNEN bài 74: Phép cộng phân số (tiếp theo)
- Giải vở bài tập Toán 4 bài 115: Phép cộng phân số (tiếp theo)
Giải bài tập phép trừ phân số
- Giải bài tập trang 129 SGK Toán 4: Phép trừ phân số
- Bài tập Phép trừ phân số lớp 4
- Giải Toán lớp 4 VNEN bài 75: Phép trừ phân số
- Giải Toán lớp 4 VNEN bài 76: Phép trừ phân số (tiếp theo)
Trắc nghiệm Phép cộng, trừ phân số
Trắc nghiệm Toán 4: Phép trừ phân số
Trắc nghiệm Toán 4: Phép trừ phân số (tiếp theo)
......................
Ngoài ra, các em học sinh hoặc quý phụ huynh còn có thể tham khảo thêm Giải vở bài tập Toán 4 bài 121: Luyện tập chung.