Giải Toán lớp 4 VNEN bài 78: Phép nhân phân số
Giải Toán lớp 4 VNEN bài 78: Phép nhân phân số - Sách VNEN toán 4 tập 2 trang 52 bao gồm chi tiết lời giải cho từng bài tập giúp các em học sinh củng cố, rèn kỹ năng giải Toán Chương 4. Mời các em học sinh tham khảo lời giải hay sau đây.
>> Bài trước: Giải Toán lớp 4 VNEN bài 77: Em ôn lại những gì đã học
Bài 78 Phép nhân phân số
A. Hoạt động cơ bản bài 78 Toán lớp 4 VNEN
1. Em và bạn cùng đọc bài toán sau và thảo luận tìm cách giải
· Tính diện tích hình chữ nhật có chiều dài
\(\frac{4}{5}\)m và chiều rộng
\(\frac{2}{3}\) m.
· Em hỏi, bạn trả lời: để tính diện tích hình chữ nhật trên phải thực hiện phép tính gì?
Trả lời:
Để tính diện tích hình chữ nhật ta phải thực hiện phép nhân
\(\dfrac{4}{5} \times \dfrac{2}{3}\)
2. Em và bạn quan sát hình vẽ: (Trang 52 sgk)
Em hỏi, bạn trả lời:

a. Hình vuông có diện tích bằng bao nhiêu?
b. Hình vuông được chia thành bao nhiêu ô bằng nhau?
c. Diện tích mỗi ô bằng bao nhiêu mét vuông?
d. Hình chữ nhật (phần tô màu) chiếm mấy ô?
e. Diện tích hình chữ nhật bằng bao nhiêu mét vuông?
Trả lời:
a. Hình vuông có diện tích bằng 1 x 1 = 1 (m2)
b. Hình vuông được chia thành 15 ô bằng nhau
c.
Chiều rộng của hình chữ nhật bé là: ![]()
Chiều dài của hình chữ nhật bé là: ![]()
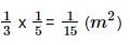
Vậy diện tích của mỗi ô là: ![]()
d. Hình chữ nhật (phần tô màu) chiếm 6 ô.
e. Diện tích hình chữ nhật là: ![]()
3. Đọc kĩ nội dung sau và nghe thầy cô giáo hướng dẫn: (sgk)
Ta thực hiện phép nhân như sau:
\(\dfrac{4}{5} \times \dfrac{2}{3} = \dfrac{{4 \times 2}}{{5 \times 3}} = \dfrac{8}{{15}}.\)
Muốn nhân hai phân số, ta lấy tử số nhân với tử số, mẫu số nhân với mẫu số.
Đáp án
Ví dụ: Phân số thứ nhất là
\(\dfrac{4}{5}\) có tử số là 4, mẫu số là 5. Phân số thứ hai là \dfrac{2}{3}
\(\dfrac{4}{5}\) có tử số là 2, mẫu số là 3.
Để nhân hai phân số
\(\dfrac{4}{5}\) và phân số
\(\dfrac{2}{3}\) với nhau, ta lấy 4 x 2 = 8 ở trên tử số và mẫu số là
5 x 3 = 15.
Sau đó ta viết gọn phân số này thì được một phân số là
\(\dfrac{8}{15}\)
4. Em và bạn tính:
a) Em và bạn tính:
\(\dfrac{3}{4} \times \dfrac{5}{7}\);
\(\dfrac{4}{5} \times \dfrac{1}{3}\).
b) Nói cho bạn nghe cách tính.
Trả lời:
a)
\(\dfrac{3}{4} \times \dfrac{5}{7} = \dfrac{{3 \times 5}}{{4 \times 7}} = \dfrac{{15}}{{28}}\)
\(\dfrac{4}{5} \times \dfrac{1}{3} = \dfrac{{4 \times 1}}{{5 \times 3}} = \dfrac{4}{{15}}\)
b) Cách tính: Muốn nhân hai phân số, ta lấy tử số nhân với tử số, mẫu số nhân với mẫu số.
B. Hoạt động thực hành bài 78 Toán lớp 4 VNEN
Câu 1: Trang 53 sách VNEN toán 4
Tính:
a)
\(\;\dfrac{1}{6} \times \dfrac{5}{7};\,\,\,\,\,\,\,\,\)
b)
\(\; \dfrac{4}{5} \times \dfrac{6}{7};\,\,\,\,\,\,\,\,\,\)
c)
\(\; \dfrac{1}{4} \times \dfrac{8}{5}\)
Đáp án
\(\begin{array}{*{20}{l}}
{a)\;\dfrac{1}{6} \times \dfrac{5}{7} = \dfrac{{1 \times 5}}{{6 \times 7}} = \dfrac{5}{{42}}}\\
{b)\;\dfrac{4}{5} \times \dfrac{6}{7} = \dfrac{{4 \times 6}}{{5 \times 7}} = \dfrac{{24}}{{35}}}\\
{c)\;\dfrac{1}{4} \times \dfrac{8}{5} = \dfrac{{1 \times 8}}{{4 \times 5}} = \dfrac{8}{{20}} = \dfrac{2}{5}}
\end{array}\)
Câu 2: Trang 53 sách VNEN toán 4
Rút gọn rồi tính:

Đáp án

Câu 3: Trang 53 sách VNEN toán 4
Tính (theo mẫu):
Tính (theo mẫu) :
Mẫu :
\(\dfrac{3}{4} \times 5 = \dfrac{3}{4} \times \dfrac{5}{1}= \dfrac{{3 \times 5}}{4 \times 1} = \dfrac{15}{4}\)
Ta có thể viết gọn như sau :
\(\dfrac{3}{4} \times 5 = \dfrac{{3 \times 5}}{4 } = \dfrac{15}{4}\)
Mẫu :
\(4 \times \dfrac{2}{8} = \dfrac{4}{1} \times \dfrac{2}{9}= \dfrac{{4 \times 2}}{1 \times 9} = \dfrac{8}{9}\)
Ta có thể viết gọn như sau :
\(4 \times \dfrac{2}{8} = \dfrac{{4 \times 2}}{1 \times 9} = \dfrac{8}{9}\)
\(\dfrac{3}{7} \times 2;\,\,\,\,\,\,\dfrac{5}{{12}} \times 1;\,\,\,\,\,\,3 \times \dfrac{4}{7};\,\,\,\,\,\,\,\,0 \times \dfrac{5}{9}\)
Đáp án

Câu 4: Trang 53 sách VNEN toán 4
Tính:
a)
\(\;\dfrac{4}{7} \times \dfrac{5}{4};\,\,\,\,\)
b)
\(\;\dfrac{6}{5} \times \dfrac{5}{7};\,\,\,\,\)
c)
\(\;\dfrac{{11}}{3} \times \dfrac{3}{{11}}\)
Đáp án
a)
\(\; \dfrac{4}{7} \times \dfrac{5}{4} = \dfrac{{4 \times 5}}{{7 \times 4}} = \dfrac{ \not{4} \times 5}{7 \times \not{4} } = \dfrac{{5}}{{7}}\)
b)
\(\; \dfrac{6}{5} \times \dfrac{5}{7} = \dfrac{{6 \times 5}}{{5 \times 7}} = \dfrac{ 6\times \not{5} }{\not{5} \times 7} = \dfrac{{6}}{{7}}\)
c)
\(\; \dfrac{{11}}{3} \times \dfrac{3}{{11}} = \dfrac{{11 \times 3}}{{3 \times 11}} = \dfrac{ \not{11} \times \not{3}}{\not{3} \times \not{11} } = 1\)
Câu 5: Trang 53 sách VNEN toán 4
Giải các bài toán sau:
a. Tính chu vi và diện tích hình vuông có cạnh dài 3/5m
b. Một hình chữ nhật có 3/4m và chiều rộng 5/8 m. Tính diện tích hình chữ nhật đó?
Đáp án
a. Chu vi của hình vuông là:
![]()
Diện tích của hình vuông là:
![]()
Đáp số: Chu vi. 12/5 m
Diện tích. 9/25 m2
b. Diện tích hình chữ nhật là:
![]()
Đáp số: 1532 m2
C. Hoạt động ứng dụng bài 78 Toán lớp 4 VNEN
Câu 1: Trang 54 sách VNEN toán 4
Hãy tự nghĩ ra tình huống trong cuộc sống hàng ngày có sử dụng phép nhân phân số và viết vào vở.
Ví dụ mẫu:
1. Mảnh vườn của mẹ có chiều dài 4/7 m, chiều rộng dài 1/4m. Tính diện tích mảnh vườn của mẹ
2. Một ngày nhà em ăn hết 1/3 kg gạo. Hỏi 7 ngày, nhà em ăn hết bao nhiêu kg gạo?
3. Mẹ mới mua một chiếc bàn mới hình chữ nhật. Mặt bàn có chiều dài 5/3m và chiều rộng 4/3m. Hỏi diện tích mặt bàn hình chữ nhật bao nhiêu mét vuông?
>> Bài tiếp theo: Giải Toán lớp 4 VNEN bài 79: Luyện tập
D. Trắc nghiệm Phép nhân phân số
>> Xem toàn bộ: Trắc nghiệm Toán 4: Phép nhân phân số
Ngoài giải bài tập Toán 4 VNEN, VnDoc còn giúp các bạn giải toán lớp 4 sách giáo khoa và bài tập tương ứng Giải bài tập trang 133 SGK Toán 4: Phép nhân phân số. Các em học sinh hoặc quý phụ huynh còn có thể tham khảo thêm đề thi học kì 1 lớp 4 và đề thi học kì 2 lớp 4 các môn Toán, Tiếng Việt, Tiếng Anh, Khoa, Sử, Địa theo chuẩn thông tư 22 của bộ Giáo Dục.