Giải Toán lớp 4 VNEN bài 104: Ôn tập các phép tính với phân số (tiếp theo)
Giải Toán lớp 4 VNEN bài 104: Ôn tập các phép tính với phân số (tiếp theo) - Sách VNEN toán 4 tập 2 trang 106, 107. Các đáp án bao gồm chi tiết lời giải cho từng bài tập giúp các em học sinh củng cố, rèn kỹ năng giải Toán Chương 5. Mời các em học sinh tham khảo lời giải hay sau đây.
>> Bài trước: Giải Toán lớp 4 VNEN bài 103: Ôn tập các phép tính với phân số
Bài 104 Ôn tập các phép tính với phân số (tiếp theo)
A. Hoạt động thực hành bài 104 Toán lớp 4 VNEN
Câu 1: Trang 106 toán VNEN 4 tập 2
Chơi trò chơi "Ai nhanh, ai đúng?"
a. Tính:
\(\frac{1}{2} \times \frac{2}{3} \times \frac{3}{4} \times \frac{4}{5}\)
\(\frac{4}{3}: \frac{5}{4}: \frac{6}{5}: \frac{7}{6}\)
b. Tìm các cặp chỉ khoảng thời gian bằng nhau:

Đáp án
a.
\(\frac{1}{2} \times \frac{2}{3} \times \frac{3}{4} \times \frac{4}{5}=\frac{1 \times 2 \times 3 \times 4}{2 \times 3 \times 4 \times 5}=\frac{1}{5}\)
\(\frac{4}{3}: \frac{5}{4}: \frac{6}{5}: \frac{7}{6}=\frac{4}{3} \times \frac{4}{5} \times \frac{5}{6} \times \frac{6}{7}=\frac{4 \times 4 \times 5 \times 6}{3 \times 5 \times 6 \times 7}=\frac{16}{21}\)
b. Ta nối như sau:

Câu 2: Trang 107 toán VNEN 4 tập 2
Phân số thứ nhất là
\(\frac{4}{5}\), phân số thứ hai là
\(\frac{2}{7}\). Hãy tính tổng, hiệu, tích, thương của phân số thứ nhất và phân số thứ hai.
Hướng dẫn giải
Áp dụng các quy tắc:
- Muốn cộng (hoặc trừ) hai phân số khác mẫu số ta quy đồng mẫu số hai phân số rồi cộng (hoặc trừ) hai phân số đã quy đồng mẫu số.
- Muốn nhân hai phân số ta lấy tử số nhân với tử số, mẫu số nhân với mẫu số.
- Muốn chia hai phân số ta lấy phân số thứ nhất nhân với phân số thứ hai đảo ngược.
Đáp án
• Tổng :
\(\dfrac{4}{5} + \dfrac{2}{7} = \dfrac{{28}}{{35}} + \dfrac{{10}}{{35}} = \dfrac{{38}}{{35}}\).
• Hiệu :
\(\dfrac{4}{5} - \dfrac{2}{7} = \dfrac{{28}}{{35}} - \dfrac{{10}}{{35}} = \dfrac{{18}}{{35}}.\)
• Tích :
\(\dfrac{4}{5} \times \dfrac{2}{7} = \dfrac{{4 \times 2}}{{5 \times 7}} = \dfrac{8}{{35}}.\)
• Thương :
\(\dfrac{4}{5}:\dfrac{2}{7} = \dfrac{4}{5} \times \dfrac{7}{2} = \dfrac{{28}}{{10}} = \dfrac{{14}}{5}.\)
Câu 3: Trang 107 toán VNEN 4 tập 2
Điền số thích hợp vào ô trống:

Hướng dẫn giải
Áp dụng các công thức:
a) Số bị trừ = Hiệu + Số trừ ; Số trừ = Số bị trừ – Hiệu ; Hiệu = Số bị trừ – Số trừ.
b) Tích = Thừa số × Thừa số ; Thừa số = Tích : Thừa số đã biết.
Đáp án

Câu 4: Trang 107 toán VNEN 4 tập 2
Tính bằng hai cách:
a)
\(\left( {\dfrac{6}{{11}} + \dfrac{5}{{11}}} \right) \times \dfrac{3}{7}\)
b)
\(\dfrac{3}{5} \times \dfrac{7}{9} + \dfrac{3}{5} \times \dfrac{2}{9}\)
c)
\(\left( {\dfrac{6}{7} - \dfrac{4}{7}} \right):\dfrac{2}{5}\)
d)
\(\dfrac{8}{{15}}:\dfrac{2}{{11}} + \dfrac{7}{{15}}:\dfrac{2}{{11}}\)
Đáp án
a
\(\left(\frac{6}{11}+\frac{5}{11}\right) \times \frac{3}{7}=1 \times \frac{3}{7}=\frac{3}{7}\)
\(\left(\frac{6}{11}+\frac{5}{11}\right) \times \frac{3}{7}=\frac{6}{11} \times \frac{3}{7}+\frac{5}{11} \times \frac{3}{7}=\frac{18}{77}+\frac{15}{77}=\frac{33}{77}=\frac{3}{7}\)
b
\(\frac{3}{5} \times \frac{7}{9}+\frac{3}{5} \times \frac{2}{9}=\frac{21}{45}+\frac{6}{45}=\frac{27}{45}=\frac{3}{5}\)
\(\frac{3}{5} \times \frac{7}{9}+\frac{3}{5} \times \frac{2}{9}=\frac{3}{5} \times\left(\frac{7}{9}+\frac{2}{9}\right)=\frac{3}{5} \times 1=\frac{3}{5}\)
c.
\(\left(\frac{6}{7}-\frac{4}{7}\right): \frac{2}{5}=\frac{2}{7} \times \frac{5}{2}=\frac{10}{14}\)
\(\left(\frac{6}{7}-\frac{4}{7}\right): \frac{2}{5}=\frac{6}{7}: \frac{2}{5}-\frac{4}{7}: \frac{2}{5}=\frac{6}{7} \times \frac{5}{2}-\frac{4}{7} \times \frac{5}{2}=\frac{30}{14}-\frac{20}{14}=\frac{10}{14}\)
d.
\(\frac{8}{15}: \frac{2}{11}+\frac{7}{15}: \frac{2}{11}=\frac{8}{15} \times \frac{11}{2}+\frac{7}{15} \times \frac{11}{2}=\frac{88}{30}+\frac{77}{30}=\frac{165}{30}=\frac{11}{2}\)
\(\frac{8}{15}: \frac{2}{11}+\frac{7}{15}: \frac{2}{11}=\left(\frac{8}{15}+\frac{7}{15}\right): \frac{2}{11}=1 \times \frac{11}{2}=\frac{11}{2}\)
Câu 5: Trang 107 toán VNEN 4 tập 2
Tính:

Đáp án

Câu 6: Trang 107 toán VNEN 4 tập 2
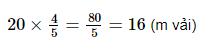
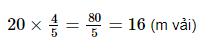
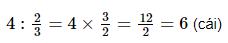
Một tấm vải dài 20m. Đã may quần áo hết
\(\frac{4}{5}\) tấm vải đó. Số vải còn lại đem may các túi, mỗi túi hết
\(\frac{2}{3}\)m. Hỏi may được tất cả bao nhiêu cái túi như vậy?
Đáp án
May quần áo hết số m vài là:

Sau khi may quần áo, tấm vải còn số m là:
20 - 16 = 4 (m vài)
Vậy với 4 m vải còn lại may được tất cả số cái túi là:
![]()
Đáp số: 6 cái túi
Câu 7: Trang 107 toán VNEN 4 tập 2
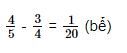
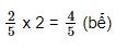
Người ta cho một vòi nước chảy vào bể chứa có nước, mỗi giờ chảy được
\(\frac{2}{5}\)bể.
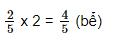
a. Hỏi sau hai giờ vòi nước đó chảy được mấy phần bể?
b. Nếu đã dùng hết một lượng nước bằng
\(\frac{3}{4}\)bể thì số nước còn lại là mấy phần bể?
Đáp án
a. Sau hai giờ, vòi nước đó chảy được số phần bể là:
![]()
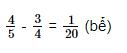
b. Nếu đã dùng một lượng nước bằng
\(\frac{3}{4}\)bể thì số nước còn lại là:

Đáp số: a.
\(\frac{4}{5}\) bể; b.
\(\frac{1}{20}\) bể
B. Hoạt động ứng dụng bài 104 Toán lớp 4 VNEN
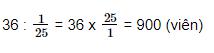
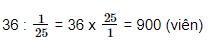
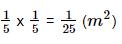
Một căn phòng hình vuông có diện tích 36m2. Bác Lân định lát nền căn phòng bằng loại gạch hình vuông có cạnh 15m. Em hãy tính xem bác Lân cần phải mua bao nhiêu viên gạch để lát nền căn phòng đó, biết rằng phần mạch vữa không đáng kể.
Hướng dẫn giải
Tính diện tích một viên gạch hình vuông ta lấy cạnh nhân với cạnh.
- Tính số viên gạch cần mua ta lấy diện tích căn phòng chia cho diện tích một viên gạch.
Đáp án
Diện tích của viên gạch hình vuông là:
![]()
Vậy để lát nền căn phòng đó, cần phải mua số viên gạch là:

Đáp số: 900 viên
>> Bài tiếp theo: Giải Toán lớp 4 VNEN bài 105: Ôn tập về đại lượng
Bên cạnh đó, các bạn có thể tham khảo thêm Lý thuyết Toán 4; Toán lớp 4; Đề kiểm tra cuối tuần môn Toán lớp 4.