Đề ôn thi giữa học kì 2 môn Toán lớp 4 - Đề 3
Đề ôn thi giữa học kì 2 môn Toán lớp 4 - Đề 3 được VnDoc sưu tầm, chọn lọc cho các em học sinh ôn tập, củng cố kiến thức trọng tâm chuẩn bị cho các bài thi kiểm tra giữa học kì 2 lớp 4. Mời các thầy cô cùng các em học sinh tham khảo chi tiết.
Đề ôn thi giữa học kì 2 môn Toán lớp 4 - Đề 3
Đề bài ôn tập giữa học kì 2 môn Toán lớp 4
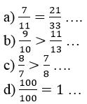
Bài 1. Đúng ghi Đ, sai ghi S vào chỗ chấm:

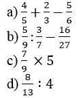
Bài 2. Tính:

Bài 3. Khoanh vào chữ đặt trước câu trả lời đúng:
a) Chữ số 5 trong số 156834 có giá trị là :
A.5
B. 56834
C. 5000
D. 50000

c) Chữ số thích hợp viết vào chỗ để 18m2 8dm2 = ….. cm2:
A. 18080
B. 180800
C. 18800
D. 188000
d) 1/4 của 40 kg là:
A. 10
B. 10 kg
C. 30
D. 30kg
Bài 4. Viết vào chỗ chấm :
a) 3 tấn 30 kg = …… kg
b) 5 giờ 25 phút = ……. phút
c) 17m2 5 dm2 = ….. cm2
d) 28 m2 80 cm2 = … cm2
Bài 5. Đội văn nghệ của Trường tiểu học Kim Đồng có 24 bạn nữ và một số bạn nam. Số bạn nam bằng 2/3 số bạn nữ. Hỏi đội văn nghệ của trường có tất cả bao nhiêu bạn.
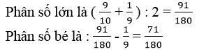
Bài 6. Tổng của hai phân số là 9/10, hiệu của hai phân số là 1/9 . Tìm hai phân số đó .
Đáp án Đề kiểm tra giữa học kì 2 môn Toán lớp 4
Bài 1:
a) Đ
b) S
c) Đ
d) Đ
Bài 2.

Bài 3.
a) D
b) C
c) B
d) B
Bài 4.
a) 3 tấn 30 kg = 3030 kg
b) 5 giờ 25 phút = 325 phút
c) 17m2 5 dm2 = 170500 cm2
d) 28m2 80 cm2 = 280080 cm2
Bài 5.
Số bạn nam của đội văn nghệ có là: 24 x 2/3 = 16 (bạn)
Số bạn của đội văn nghệ có là: 24 + 16 = 40 (bạn)
Đáp số: 40 bạn
Bài 6.

Đề ôn thi giữa học kì 2 môn Toán lớp 4 - Đề 3 bao gồm 6 câu hỏi có đáp án chi tiết cho từng dạng bài tập, các em học sinh tham khảo ôn tập, rèn luyện kỹ năng giải Toán chuẩn bị cho bài thi giữa học kì lớp 4.
Ngoài Đề ôn tập giữa học kì 2 lớp 4 trên, các bạn luyện giải bài tập SGK Tiếng Việt 4 hay SGK môn Toán lớp 4 được VnDoc sưu tầm, chọn lọc. Đồng thời các dạng đề thi học kì 1 lớp 4, đề thi học kì 2 theo Thông tư 22 mới nhất được cập nhật. Mời các em học sinh, các thầy cô cùng các bậc phụ huynh tham khảo đề thi, bài tập mới nhất.