Đề thi Toán 7 học kì 2 có đáp án năm học 2019 - 2020 - Đề số 2
Đề thi Toán 7 học kì 2 có đáp án năm học 2019 - 2020 - Đề số 2 nằm trong Bộ đề thi học kì 2 môn Toán lớp 7 trên VnDoc. Đề kiểm tra Toán 7 học kì 2 bao gồm cả trắc nghiệm và tự luận có đầy đủ đáp án cho các em học sinh tham khảo và luyện tập, chuẩn bị cho bài thi cuối học kì 2 Toán 7 sắp tới đạt kết quả cao.
Nhằm giúp các em học sinh lớp 7 làm quen với nhiều dạng đề thi học kì 2 lớp 7 khác nhau, VnDoc giới thiệu Bộ đề thi học kì 2 lớp 7 với đầy đủ các môn. Đây là nguồn tài liệu hay cho thầy cô tham khảo ra đề và các em học sinh tham khảo, chuẩn tốt cho các kì thi quan trọng sắp diễn ra.
Đề thi cuối học kì 2 môn Toán lớp 7 có đáp án
Đề thi học kì 2 lớp 7 môn Toán
A. PHẦN TRẮC NGHIỆM: (3,0 điểm).
Chọn câu trả lời đúng
Câu 1: Ba độ dài nào dưới đây là độ dài ba cạnh của một tam giác :
A. 2cm, 4cm, 6cm
B. 1cm, 3cm, 5cm
C. 2cm, 3cm, 4cm
D. 2cm, 3cm, 5cm
Câu 2: Đơn thức nào đồng dạng với đơn thức 2x2y :
A. xy2
B. 2xy2
C. -5x2y
D. 2xy
Câu 3: có
\(\hat{A}\) =900 ,
\(\hat{B}\) =300 thì quan hệ giữa ba cạnh AB, AC, BC là:
A. BC > AB > AC
B. AC > AB > BC
C. AB > AC > BC
D. BC > AC > AB
Câu 4: Biểu thức x2 + 2x, tại x = -1 có giá trị là :
A. –3
B. –1
C. 3
D. 0
Câu 5: Một tam giác cân có góc ở đỉnh bằng 1000 . Vậy mỗi góc ở đáy có số đo là :
A.1400
B.800
C.400
D.1000
Câu 6: Với x = – 1 là nghiệm của đa thức nào sau đây:
A. x + 1
B. x –1
C. 2x +
\(\frac{1}{2}\)
D. x2+ 1
Câu 7: Tam giác ABC có G là trọng tâm, AM là đường trung tuyến, ta có:
A. AG =
\(\frac{1}{2}\)AM
B. AG =
\(\frac{1}{3}\)AM
C. AG =
\(\frac{3}{2}\)AM.
D. AG =
\(\frac{2}{3}\)AM
Câu 8: Đơn thức
\(-\frac{1}{2}\)x2y5z3 có bậc:
A. 3
B. 5
C. 2
D. 10

Câu 11: Gọi M là trung điểm của BC trong tam giác ABC. AM gọi là đường gì của tam giác ABC?
A. Đường cao.
B. Đường phân giác.
C. Đường trung tuyến.
D. Đường trung trực
Câu 12: Cho hình vẽ bên. So sánh AB, BC, BD ta được:

A. AB < BC < BD
B. AB > BC > BD
C. BC > BD > AB
D. BD <BC < AB
B. PHẦN TỰ LUẬN: (7,0 điểm).
Câu 13. (1,0 điểm)
Thời gian giải một bài toán (tính bằng phút) của 22 học sinh được ghi lại như sau:
|
9 |
10 |
5 |
10 |
8 |
9 |
7 |
8 |
9 |
10 |
8 |
|
8 |
5 |
7 |
8 |
10 |
9 |
8 |
10 |
7 |
8 |
14 |
a) Lập bảng tần số và tìm mốt của dấu hiệu.
b) Tính số trung bình cộng.
Câu 14. (2,0 điểm) Cho hai đa thức :

a) Thu gọn và sắp xếp hai đa thức P(x), Q(x) theo lũy thừa giảm dần của biến
b) Tính M(x) = P(x) + Q(x) ; N(x) = Q(x) – P(x)
c) Chứng tỏ x = 2 là nghiệm của N(x) nhưng không là nghiệm của M(x)
Câu 15. (3,5 điểm) Cho tam giác ABC vuông ở A có góc B bằng 60o. Tia phân giác của góc ABC cắt AC ở E. Kẻ EH vuông góc với BC ( H∈BC ).
Chứng minh ΔABE= ΔHBE
b) Chứng minh HB = HC
c) Từ H kẻ đường thẳng song song với BE cắt AC ở K. Chứng minh ΔEHK là tam giác đều.
Gọi I là giao điểm của BA và HE. Chứng minhIE > EH.
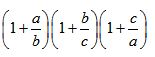
Câu 16. (0,5 điểm) Cho a, b, c ≠ 0 thỏa mãn a + b + c = 0.
Tính A = 
Đáp án đề kiểm tra học kì 2 Toán 7
A. PHẦN TRẮC NGHIỆM: (3,0 điểm).Mỗi câu 0,25 điểm
|
Câu |
1 |
2 |
3 |
4 |
5 |
6 |
7 |
8 |
9 |
10 |
11 |
12 |
|
Đáp án |
C |
C |
A |
B |
C |
A |
D |
D |
C |
C |
C |
A |
Mời các bạn xem toàn bộ đáp án trong file tải của Đề thi Toán 7 học kì 2 có đáp án năm học 2019 - 2020 - Đề số 2. Ngoài ra, các bạn có thể tham khảo thêm các tài liệu lớp 7 khác như: Giải bài tập Toán lớp 7, Giải Vở BT Toán 7 và các dạng Đề thi học kì 2 lớp 7 ... được cập nhật liên tục trên VnDoc.com để học tốt Toán 7 hơn.