Đường kính và dây của đường tròn
Chuyên đề Toán học lớp 9: Đường kính và dây của đường tròn được VnDoc sưu tầm và giới thiệu tới các bạn học sinh cùng quý thầy cô tham khảo. Nội dung tài liệu sẽ giúp các bạn học sinh học tốt môn Toán học lớp 9 hiệu quả hơn. Mời các bạn tham khảo.
Bài: Đường kính và dây của đường tròn
1. So sánh độ dài của đường kính và dây.
Trong các dây của một đường tròn, dây lớn nhất là đường kính.
Ví dụ: Gọi AB là một dây bất kỳ của đường tròn (O; R). Chứng minh rằng AB ≤ 2R
+ Trường hợp 1: AB là đường kính
⇒ AB = 2R

+ Trường hợp 2: AB không là đường kính
Xét tam giác AOB, ta có:
AB < AO + OB = R + R = 2R
Vậy ta luôn có AB ≤ 2R

2. Quan hệ vuông góc giữa đường kính và dây.
+ Trong một đường tròn, đường kính vuông góc với dây thì đi qua trung điểm của dây đó.

+ Trong một đường tròn, đường kính đi qua trung điểm của một dây không đi qua tâm thì vuông góc với dây ấy.

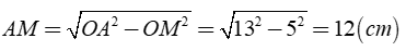
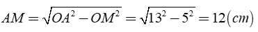
Ví dụ: Cho hình vẽ sau, tính độ dài dây AB khi biết OA = 13cm; AM = MB; OM = 5cm.

Hướng dẫn:
Áp dụng định lý: “Trong một đường tròn, đường kính đi qua trung điểm của một dây không đi qua tâm thì vuông góc với dây ấy"
Khi đó ta có: OM ⊥ AB.
Áp dụng định lý Py – ta – go ta có:
![]()
⇒ AB = 2.AM = 2.12 = 24 (cm)
Với bài Đường kính và dây của đường tròn trên đây các bạn học sinh cùng quý thầy cô cần nắm vững kiến thức về so sánh độ dài của đường kính và dây, quan hệ vuông góc giữa đường kính và dây ....
Trên đây VnDoc đã giới thiệu tới các bạn lý thuyết môn Toán học 9: Đường kính và dây của đường tròn. Để có kết quả cao hơn trong học tập, VnDoc xin giới thiệu tới các bạn học sinh tài liệu Chuyên đề Toán học 9, Giải bài tập Toán lớp 9 mà VnDoc tổng hợp và giới thiệu tới các bạn đọc