Liên hệ giữa cung và dây
Chuyên đề Toán học lớp 9: Liên hệ giữa cung và dây được VnDoc sưu tầm và giới thiệu tới các bạn học sinh cùng quý thầy cô tham khảo. Nội dung tài liệu sẽ giúp các bạn học sinh học tốt môn Toán học lớp 9 hiệu quả hơn. Mời các bạn tham khảo.
Bài: Liên hệ giữa cung và dây
1. Định lí 1
Với hai cung nhỏ trong một đường tròn hay trong hai đường tròn bằng nhau:
+ Hai cung bằng nhau căng hai dây bằng nhau.
+ Hai dây bằng nhau căng hai cung bằng nhau.
2. Định lí 2
Với hai cung nhỏ trong một đường tròn hay trong hai đường tròn bằng nhau:
+ Cung lớn hơn căng dây lớn hơn.
+ Dây lớn hơn căng cung lớn hơn.
3. Bổ sung
+ Trong một đường tròn, hai cung bị chắn giữa hai dây song song thì bằng nhau.
+ Trong một đường tròn, đường kính đi qua điểm chính giữa của một cung thì đi qua trung điểm của dây căng cung ấy.
+ Trong một đường tròn, đường kính đi qua trung điểm của một dây (không đi qua tâm) thì đi qua điểm chính giữa của cung bị căng bởi dây ấy.
+ Trong một đường tròn, đường kính đi qua điểm chính giữa của một cung thì vuông góc với dây căng cung ấy và ngược lại.
4. Ví dụ cụ thể
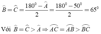
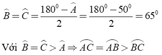
Câu 1: Cho tam giác ABC cân tại A nội tiếp trong đường tròn (O). Biết ∠A = 50°, hãy so sánh các cung nhỏ AB, AC và BC.
Hướng dẫn:

Ta có: ΔABC cân tại A và ∠A = 50°
Khi đó

Bài lý thuyết: Liên hệ giữa cung và dây trên đây các bạn học sinh cùng quý thầy cô cần nắm vững kiến thức về các định lý, ứng dụng của định vào liên hệ giữa cung và dây...
Trên đây VnDoc đã giới thiệu tới các bạn lý thuyết môn Toán học 9: Liên hệ giữa cung và dây. Để có kết quả cao hơn trong học tập, VnDoc xin giới thiệu tới các bạn học sinh tài liệu Chuyên đề Toán học 9, Giải bài tập Toán lớp 9 mà VnDoc tổng hợp và giới thiệu tới các bạn đọc