Vị trí tương đối của hai đường tròn
Chuyên đề Toán học lớp 9: Vị trí tương đối của hai đường tròn được VnDoc sưu tầm và giới thiệu tới các bạn học sinh cùng quý thầy cô tham khảo. Nội dung tài liệu sẽ giúp các bạn học sinh học tốt môn Toán học lớp 9 hiệu quả hơn. Mời các bạn tham khảo.
Bài: Vị trí tương đối của hai đường tròn
1. Ba vị trí tương đối của hai đường tròn.
a) Hai đường tròn cắt nhau.

Hai đường tròn có hai điểm chung được gọi là hai đường tròn cắt nhau.
+ Hai điểm A, B là hai giao điểm.
+ Đoạn thẳng AB là dây chung.
+ Đặt O1A = R; O2A = r khi đó: |R - r| < O1O2 < R + r
+ Đường thẳng O1O2 là đường nối tâm, đoạn thẳng O1O2 là đoạn nối tâm.
+ Tính chất đường nối tâm: Đường nối tâm là đường trung trực của dây chung
b) Hai đường tròn tiếp xúc nhau.

Hai đường tròn chỉ có một điểm chung được gọi là hai đường tròn tiếp xúc.
+ Điểm A gọi là tiếp điểm.
+ Có hai trường hợp tiếp xúc của hai đường tròn:
⋅ Tiếp xúc ngoài tại A: O1O2 = R + r
⋅ Tiếp xúc trong tạ A: O1O2 = |R - r|
c) Hai đường tròn không giao nhau

Hai đường tròn không có điểm chung nào được gọi là hai đường tròn không giao nhau.
+ Hai đường tròn ngoài nhau: O1O2 > R + r
+ Hai đường tròn đựng nhau: O1O2 < |R - r|
+ Đặc biệt, khi (O1) và (O2) đồng tâm: O1O2 = 0
2. Định lý
+ Nếu hai đường tròn cắt nhau thì hai giao điểm đối xứng nhau qua đường nối tâm, tức là đường nối tâm là đường trung trực của dây cung.
+ Nếu hai đường tròn tiếp xúc nhau thì tiếp điểm nằm trên đường nối tâm.
3. Tiếp tuyến chung của hai đường tròn

+ Tiếp tuyến chung của hai đường tròn là đường thẳng tiếp xúc với cả hai đường tròn đó.
+ Tiếp tuyến chung ngoài không cắt đường nối tâm.
+ Tiếp tuyến chung trong cắt đường nối tâm.
4. Ví dụ cụ thể
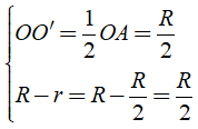
Câu 1: Cho đường tròn tâm O bán kính OA và đường tròn đường kính OA. Xác định tính tương đối của hai đường tròn
Hướng dẫn:

Gọi đường tròn (O') là đường tròn đường kính OA.
Ta có:
⇒ (O) và (O') tiếp xúc trong.
Bài lý thuyết: Vị trí tương đối của hai đường tròn trên đây các bạn học sinh cùng quý thầy cô cần nắm vững kiến thức về định lý về ba vị trí tương đối của hai đường tròn, tiếp tuyến chung của hai đường tròn ....
Trên đây VnDoc đã giới thiệu tới các bạn lý thuyết môn Toán học 9: Vị trí tương đối của hai đường tròn. Để có kết quả cao hơn trong học tập, VnDoc xin giới thiệu tới các bạn học sinh tài liệu Chuyên đề Toán học 9, Giải bài tập Toán lớp 9 mà VnDoc tổng hợp và giới thiệu tới các bạn đọc