Căn bậc ba
Chuyên đề Toán học lớp 9: Căn bậc ba được VnDoc sưu tầm và giới thiệu tới các bạn học sinh cùng quý thầy cô tham khảo. Nội dung tài liệu sẽ giúp các bạn học sinh học tốt môn Toán học lớp 9 hiệu quả hơn. Mời các bạn tham khảo.
Chuyên đề: Căn bậc ba
A. Lý thuyết
1. ĐỊNH NGHĨA
• Định nghĩa: Căn bậc ba của một số thực a là số x sao cho x3 = a
• Viết: x = ∛a
Số 3 gọi là chỉ số căn.
Phép lấy căn bậc ba của một số gọi là phép khai căn bậc ba.
• Vậy x = ∛a ⇔ a = x3
• Ví dụ: ∛8 = 2 vì 23 = 8
∛-125 = -5 vì (-5)3 = -125
• Nhận xét: Mỗi số thực a đều có duy nhất một căn bậc 3. Cụ thể:
- Nếu a > 0 ⇒ ∛a > 0
- Nếu a < 0 ⇒ ∛a < 0
- Nếu a = 0 ⇒ ∛a = 0
2. TÍNH CHẤT

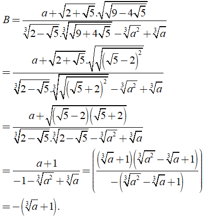
3. BIỂU THỨC LIÊN HỢP CỦA CĂN BẬC BA

B. Trắc nghiệm & Tự luận
I. Bài tập trắc nghiệm
Câu 1: Kết quả so sánh nào sau đây sai?
A. 5 > ∛123 B. 5∛6 = 6∛5 C. 3∛2 < ∛55 D. 3∛4 > 2∛13

Chọn đáp án B.
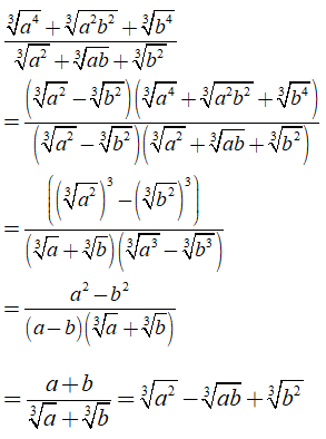
Câu 2: Kết quả của phép tính
là?

Ta có

Chọn đáp án C.
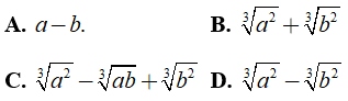
Câu 3: Kết quả rút gọn của biểu thức
là?

Ta có:

Chọn đáp án C.
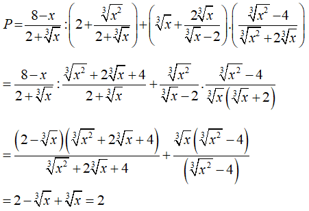
Câu 4: Cho biểu thức

với x > 0 và x ≠ 8. Rút gọn P ta được?
A. 2 B. 2 - 2∛x C. ∛x D. 1/2
Ta có:

Chọn đáp án A.
II. Bài tập tự luận
Câu 1: Chứng minh rằng giá trị của biểu thức sau không phụ thuộc vào giá trị của biến:

Ta có:

Vậy A không phụ thuộc vào giá trị của biến.
Câu 2: Giải phương trình sau đây:

a) Ta có:

b) Ta có:

c) Ta có:

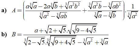
Câu 3: Rút gọn các biểu thức sau

a) Ta có:

b) Ta có

Với bài Căn bậc ba trên đây các bạn học sinh cùng quý thầy cô cần nắm vững kiến thức về định nghĩa, tính chất, của căn bậc ba và biểu thức liên hợp của căn bậc ba....
Trên đây VnDoc đã giới thiệu tới các bạn lý thuyết môn Toán học 9: Căn bậc ba. Để có kết quả cao hơn trong học tập, VnDoc xin giới thiệu tới các bạn học sinh tài liệu Chuyên đề Toán học 9, Giải bài tập Toán lớp 9 mà VnDoc tổng hợp và giới thiệu tới các bạn đọc