Hệ thức Vi-ét và ứng dụng
Chuyên đề Toán học lớp 9: Hệ thức Vi-ét và ứng dụng được VnDoc sưu tầm và giới thiệu tới các bạn học sinh cùng quý thầy cô tham khảo. Nội dung tài liệu sẽ giúp các bạn học sinh học tốt môn Toán học lớp 9 hiệu quả hơn. Mời các bạn tham khảo.
Bài: Hệ thức Vi-ét và ứng dụng
1. Hệ thức vi – ét
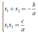
Phương trình bậc hai ax2 + bx + c = 0 (a ≠ 0) có nghiệm dù đó là hai nghiệm phân biệt hay nghiệm kép thì ta đều có thể viết được dưới dạng:

Khi đó nếu x1, x2 là hai nghiệm của phương trình ax2 + bx + c = 0 (a ≠ 0) thì ta có:

2. Ứng dụng của định lý Vi – ét
a) Tính nhẩm nghiệm
+ Nếu phương trình ax2 + bx + c = 0 (a ≠ 0) có a + b + c = 0 thì phương trình có một nghiệm là x1 = 1 và nghiệm còn lại là x2 = c/a
+ Nếu phương trình ax2 + bx + c = 0 (a ≠ 0) có a - b + c = 0 thì phương trình có một nghiệm là x1 = -1 và nghiệm còn lại là x2 = -c/a
b) Tìm hai số khi biết tổng và tích.
+ Nếu hai số có tổng bằng S và tích bằng P thì hai số đó là nghiệm của phương trình bậc hai x2 - Sx + P = 0
+ Điều kiện để có hai số đó là S2 - 4P ≥ 0
3. Ví dụ cụ thể
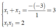
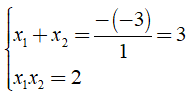
Câu 1: Cho phương trình x2 - 3x + 2 = 0. Tính giá trị của biểu thức P = 2(x1 + x2) - x1.x2
Hướng dẫn:
Ta có: a.c = 1.2 = 2 > 0 ⇒ phương trình có hai nghiệm phân biệt x1, x2.
Áp dụng hệ thức Vi – ét ta có:

Khi đó P = 2(x1 + x2) - x1.x2 = 2.3 - 2 = 4. Vậy P = 4
Câu 2: Tìm hai số khi biết tổng hai số đó là S = 5 và tích của hai số đó là P = 6 ?
Hướng dẫn:
Gọi x1, x2 là hai số cần tìm, khi đó x1, x2 là nghiệm của phương trình x2 - 5x + 6 = 0
Ta có Δ' = 52 - 4.6.1 = 25 - 24 = 1 > 0
Khi đó phương trình có hai nghiệm là:

Vậy hai số cần tìm là 3 và 2.
Bài lý thuyết: Hệ thức Vi-ét và ứng dụng trên đây các bạn học sinh cùng quý thầy cô cần nắm vững kiến thức về định nghĩa, ứng dụng của định lí Vi-ét....
Trên đây VnDoc đã giới thiệu tới các bạn lý thuyết môn Toán học 9: Hệ thức Vi-ét và ứng dụng. Để có kết quả cao hơn trong học tập, VnDoc xin giới thiệu tới các bạn học sinh tài liệu Chuyên đề Toán học 9, Giải bài tập Toán lớp 9 mà VnDoc tổng hợp và giới thiệu tới các bạn đọc