Phương trình bậc hai một ẩn
Chuyên đề Toán học lớp 9: Phương trình bậc hai một ẩn được VnDoc sưu tầm và giới thiệu tới các bạn học sinh cùng quý thầy cô tham khảo. Nội dung tài liệu sẽ giúp các bạn học sinh học tốt môn Toán học lớp 9 hiệu quả hơn. Mời các bạn tham khảo.
Bài: Phương trình bậc hai một ẩn
1. Định nghĩa
Phương trình bậc hai một ẩn là phương trình có dạng: ax2 + bx + c = 0. Trong đó x là ẩn số; a, b, c là những số cho trước gọi là các hệ số và a ≠ 0.
Ví dụ:
+ x2 - 5x + 4 là phương trình bậc hai một ẩn trong đó a = 1; b = -5; c = 4
+ 2x2 - 13x + 17 là phương trình bậc nhất một ẩn trong đó a = -2; b = -13; c = 17.
2. Giải phương trình với hai trường hợp đặc biệt
a) Trường hợp c = 0.
Khi đó phương trình có dạng: ax2 + bx = 0 ⇔ x(ax + b) = 0
Phương trình có nghiệm: x1 = 0; x2 = -b/a
Ví dụ: Giải phương trình x2 - 3x = 0
Ta có: x2 - 3x = 0 ⇔ x(x - 3) = 0

Vậy phương trình có hai nghiệm là x1 = 0; x2 = 3
b) Trường hợp b = 0
Khi đó phương trình có dạng: ax2 + c = 0 ⇔ x2 = -c/a
+ Nếu a, c cùng dấu thì -c/a < 0 ⇒ phương trình vô nghiệm.
+ Nếu a, c khác dấu thì -c/a > 0 ⇒ phương trình có hai nghiệm
Ví dụ: Giải phương trình 2x2 - 3 = 0.
Ta có:

3. Ví dụ
Ví dụ 1: Đưa các phương trình sau về dạng ax2 + bx + c = 0 rồi chỉ rõ các hệ số a, b, c của phương trình ấy. Các phương trình: 5x2 - 3x = 10x + 100; x2 = 900
Giải:
+ Ta có: 5x2 - 3x = 10x + 100 ⇔ 5x2 - 13x - 100 = 0
Hệ số a = 5; b = -13; c = -100
+ Ta có: x2 = 900 ⇔ x2 - 900 = 0
Hệ số a = 1, c = -900
Ví dụ 2: Giải các phương trình sau bằng cách thêm bớt thích hợp
a) x2 + 6x = -8
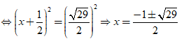
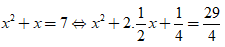
b) x2 + x = 7
Giải:
a) Ta có: x2 + 6x = -8 ⇔ x2 + 6x + 9 = -8 + 9
⇔ (x + 3)2 = 1 
![]()
Vậy phương trình đã cho có x = -2 hoặc x = -4
b) Ta có: ![]()

Vậy phương trình đã cho có nghiệm là ![]()
Bài lý thuyết: Phương trình bậc hai một ẩn trên đây các bạn học sinh cùng quý thầy cô cần nắm vững kiến thức về định nghĩa, cách giải phương trình bậc hai một ẩn....
Trên đây VnDoc đã giới thiệu tới các bạn lý thuyết môn Toán học 9: Phương trình bậc hai một ẩn. Để có kết quả cao hơn trong học tập, VnDoc xin giới thiệu tới các bạn học sinh tài liệu Chuyên đề Toán học 9, Giải bài tập Toán lớp 9 mà VnDoc tổng hợp và giới thiệu tới các bạn đọc