Tính chất của hai tiếp tuyến cắt nhau
Chuyên đề Toán học lớp 9: Tính chất của hai tiếp tuyến cắt nhau được VnDoc sưu tầm và giới thiệu tới các bạn học sinh cùng quý thầy cô tham khảo. Nội dung tài liệu sẽ giúp các bạn học sinh học tốt môn Toán học lớp 9 hiệu quả hơn. Mời các bạn tham khảo.
Bài: Tính chất của hai tiếp tuyến cắt nhau
1. Định lý về hai tiếp tuyến cắt nhau
Nếu hai tiếp tuyến của một đường tròn cắt nhau tại một điểm thì:
+ Điểm đó cách đều hai điểm.
+ Tia kẻ từ điểm đó đi qua tâm là tia phân giác của góc tạo bởi hai tiếp tuyến.
+ Tia kẻ từ tâm đi qua điểm đó là tia phân giác của góc tạo bởi hai bán kính đi qua các tiếp điểm

Ta có:![]()
2. Đường tròn nội tiếp của tam giác.
Đường tròn nội tiếp tam giác là đường tròn tiếp xúc với ba cạnh của tam giác, còn tam giác gọi là ngoại tiếp đường tròn, khi đó tam giác đó gọi là tam giác ngoại tiếp đường tròn.
Tâm của đường tròn nội tiếp tam giác là giao điểm của các đường phân giác các góc trong của tam giác

3. Đường tròn bàng tiếp tam giác.
Đường tròn bàng tiếp tam giác là đường tròn tiếp xúc với một cạnh của tam giác và tiếp xúc với các phần kéo dài của hai cạnh kia.
Tâm của đường tròn bàng tiếp trong góc A là giao điểm của hai đường phân giác các góc ngoài tại B và C, giao điểm này cùng nằm trên đường phân giác góc A.
Với một tam giác, có ba đường tròn bàng tiếp.

4. Ví dụ cụ thể
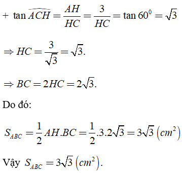
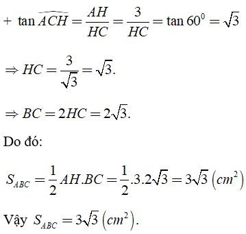
Câu 1: Cho tam giác đều ABC ngoại tiếp đường tròn bán kính bằng 1cm. Tính diện tích của tam giác ABC?
Hướng dẫn:
Ta có: ΔABC đều nên đường cao đồng thời là đường trung trực, trung tuyến của tam giác
+ AH, CE, BF là ba đường trung trực giao nhau tại O.
⇒ O là tâm đường trong ngoại tiếp ΔABC.

Khi đó ta có: OH = OF = OE = R = 1cm
⇒ AH = BF = CE = 3R = 3cm

Bài lý thuyết: Tính chất của hai tiếp tuyến cắt nhau trên đây các bạn học sinh cùng quý thầy cô cần nắm vững kiến thức về định lý về hai tiếp tuyến cắt nhau, đường tròn nội tiếp của tam giác, đường tròn bàng tiếp tam giác ....
Trên đây VnDoc đã giới thiệu tới các bạn lý thuyết môn Toán học 9: Tính chất của hai tiếp tuyến cắt nhau. Để có kết quả cao hơn trong học tập, VnDoc xin giới thiệu tới các bạn học sinh tài liệu Chuyên đề Toán học 9, Giải bài tập Toán lớp 9 mà VnDoc tổng hợp và giới thiệu tới các bạn đọc