Một số hệ thức về cạnh và đường cao trong tam giác vuông
Chuyên đề Toán học lớp 9: Một số hệ thức về cạnh và đường cao trong tam giác vuông được VnDoc sưu tầm và giới thiệu tới các bạn học sinh cùng quý thầy cô tham khảo. Nội dung tài liệu sẽ giúp các bạn học sinh học tốt môn Toán học lớp 9 hiệu quả hơn. Mời các bạn tham khảo.
Một số hệ thức về cạnh và đường cao trong tam giác vuông

1. Hệ thức giữa cạnh góc vuông và hình chiếu của nó trên cạnh huyền
Trong tam giác vuông, bình phương mỗi cạnh góc vuông bằng tích của cạnh huyền và hình chiếu của cạnh góc vuông trên cạnh huyền.
Trong tam giác ABC vuông tại A ta có: b2 = a.b'; c2 = a.c'
2. Một số hệ thức liên quan đến đường cao
a) Định lý 1
Trong một tam giác vuông, bình phương đường cao ứng với cạnh huyền bằng tích hai hình chiếu của cạnh góc vuông trên cạnh huyền
Trong tam giác ABC vuông tại A ta có: h2 = b'.c'.
b) Định lý 2
Trong một tam giác vuông, tích của hai cạnh góc vuông bằng tích của cạnh huyền với đường cao tương ứng
Trong tam giác ABC vuông tại A ta có: a.h = b.c
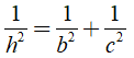
c) Định lý 3
Trong tam giác vuông, nghịch đảo của bình phương đường cao ứng với cạnh huyền bằng tổng các nghịch đảo của bình phương hai cạnh góc vuông.
Trong tam giác ABC vuông tại A ta có:
3. Ví dụ cụ thể
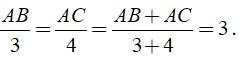
Câu 1: Cho tam giác ABC vuông tại A, đường cao AH. Biết AB:AC = 3:4 và AB + AC = 21cm.
a) Tính các cạnh của tam giác ABC.
b) Tính độ dài các đoạn AH, BH, CH.
Hướng dẫn:

a) Theo giả thiết: AB:AC = 3:4, suy ra

Do đó AB = 3.3 = 9 (cm); AC = 3.4 = 12 (cm).
Tam giác ABC vuông tại A, theo định lý Py – ta – go ta có:
BC2 = AB2 + AC2 = 92 + 122 = 225, suy ra BC = 15cm
b) Tam giác ABC vuông tại A, ta có AH.BC = AB.AC, suy ra

AH2 = BH.HC. Đặt BH = x (0 < x < 9) thì HC = 15 - x, ta có:
(7,2)2 = x(15 - x) ⇔ x2 - 15x + 51,84 = 0 ⇔ x(x - 5,4) = 9,6(x - 5,4) = 0 ⇔ (x - 5,4)(x - 9,6) = 0 ⇔ x = 5,4 hoặc x = 9,6 (loại)
Vậy BH = 5,4cm. Từ đó HC = BC - BH = 9,6 (cm).
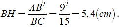
Chú ý: Có thể tính BH như sau:
AB2 = BH.BC suy ra

Với bài Một số hệ thức về cạnh và đường cao trong tam giác vuông trên đây các bạn học sinh cùng quý thầy cô cần nắm vững kiến thức về hệ thức giữa cạnh góc vuông và hình chiếu của nó trên cạnh huyền, một số hệ thức liên quan đến đường cao....
Trên đây VnDoc đã giới thiệu tới các bạn lý thuyết môn Toán học 9: Một số hệ thức về cạnh và đường cao trong tam giác vuông. Để có kết quả cao hơn trong học tập, VnDoc xin giới thiệu tới các bạn học sinh tài liệu Chuyên đề Toán học 9, Giải bài tập Toán lớp 9 mà VnDoc tổng hợp và giới thiệu tới các bạn đọc