Giải hệ phương trình bằng phương pháp cộng đại số
Chuyên đề Toán học lớp 9: Giải hệ phương trình bằng phương pháp cộng đại số được VnDoc sưu tầm và giới thiệu tới các bạn học sinh cùng quý thầy cô tham khảo. Nội dung tài liệu sẽ giúp các bạn học sinh học tốt môn Toán học lớp 9 hiệu quả hơn. Mời các bạn tham khảo.
Chuyên đề: Giải hệ phương trình bằng phương pháp cộng đại số
I. QUY TẮC CỘNG ĐẠI SỐ
Gồm hai bước:
+ Bước 1: Cộng hay trừ từng vế hai phương trình của hệ phương trình đã cho để được một phương trình mới.
+ Bước 2: Dùng phương trình mới ấy thay thế cho một trong hai phương trình của hệ (và giữ nguyên phương trình kia).
II. TÓM TẮT CÁCH GIẢI HỆ PHƯƠNG TRÌNH BẰNG PHƯƠNG PHÁP CỘNG ĐẠI SỐ
+ Bước 1: Nhân các vế của hai phương trình với số thích hợp (nếu cần) sao cho các hệ số của một ẩn nào đó trong hai phương trình của hệ bằng nhau hoặc đối nhau.
+ Bước 2: Sử dụng quy tắc cộng đại số để được hệ phương trình mới, trong đó có một phương trình mà hệ số của một trong hai ẩn bằng 0 (tức là phương trình một ẩn).
+ Bước 3: Giải phương trình một ẩn vừa thu được rồi suy ra nghiệm của hệ đã cho.
III. CHÚ Ý
Chú ý:
+ Trong phương pháp cộng đại số, trước khi thực hiện bước 1, có thể nhân hai vế của mỗi phương trình với một số thích hợp (nếu cần) sao cho các hệ số của một ẩn nào đó trong hai phương trình của hệ là bằng nhau hoặc đối nhau.
+ Đôi khi ta có thể dùng phương pháp đặt ẩn phụ để đưa hệ phương trình đã cho về hệ phương trình với hai ẩn mới, rồi sau đó sử dụng một trong hai phương pháp giải ở trên.
IV. VÍ DỤ CỤ THỂ
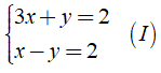
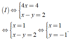
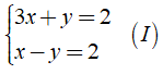
Câu 1: Giải hệ phương trình sau
Hướng dẫn:
Cộng từng vế của hai phương trình trong hệ (I) ta được: 4x = 4
Do đó ta có hệ:

Vậy hệ phương trình có nghiệm duy nhất là (x; y) = (1; -1).
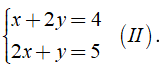
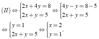
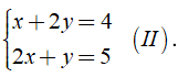
Câu 2: Giải hệ phương trình sau:
Hướng dẫn:
Nhân cả hai vế của phương trình thứ nhất với 2, khi đó ta được hệ tương đương:

Vậy hệ phương trình đã cho có nghiệm duy nhất là (x; y) = (2; 1).
Bài lý thuyết: Giải hệ phương trình bằng phương pháp cộng đại số trên đây các bạn học sinh cùng quý thầy cô cần nắm vững kiến thức về quy tắc cộng đại số, cách giải hệ phương trình bằng phương pháp cộng đại số...
Trên đây VnDoc đã giới thiệu tới các bạn lý thuyết môn Toán học 9: Giải hệ phương trình bằng phương pháp cộng đại số. Để có kết quả cao hơn trong học tập, VnDoc xin giới thiệu tới các bạn học sinh tài liệu Chuyên đề Toán học 9, Giải bài tập Toán lớp 9 mà VnDoc tổng hợp và giới thiệu tới các bạn đọc