Giải hệ phương trình bằng phương pháp thế
Chuyên đề Toán học lớp 9: Giải hệ phương trình bằng phương pháp thế được VnDoc sưu tầm và giới thiệu tới các bạn học sinh cùng quý thầy cô tham khảo. Nội dung tài liệu sẽ giúp các bạn học sinh học tốt môn Toán học lớp 9 hiệu quả hơn. Mời các bạn tham khảo.
Chuyên đề: Giải hệ phương trình bằng phương pháp thế
I. QUY TẮC THẾ
Quy tắc thế dùng để biến đổi một hệ phương trình thành hệ phương trình tương đương. Quy tắc thế gồm hai bước sau:
+ Bước 1: Từ một phương trình của hệ đã cho (coi là phương trình thứ nhất), ta biểu diễn một ẩn theo ẩn kia rồi thế vào phương trình thứ hai để được một phương trình mới (chỉ còn một ẩn).
+ Bước 2: Dùng phương trình mới để thay thế cho phương trình thứ hai trong hệ (và giữ nguyên phương trình thứ nhất).
II. TÓM TẮT CÁCH GIẢI HỆ PHƯƠNG TRÌNH BẰNG PHƯƠNG PHÁP THẾ
Tóm tắt cách giải:
+ Bước 1: Dùng quy tắc thế biến đổi hệ phương trình đã cho để được một hệ phương trình mới, trong đó có một phương trình một ẩn.
+ Bước 2: Giải phương trình một ẩn vừa có, rồi suy ra nghiệm của hệ đã cho.
III. CHÚ Ý KHI GIẢI HỆ PHƯƠNG TRÌNH BẰNG PHƯƠNG PHÁP THẾ.
Nếu thấy xuất hiện phương trình có các hệ số của hai ẩn đểu bằng 0 thì hệ phương trình đã cho có thể có vô số nghiệm hoặc vô nghiệm.
IV. VÍ DỤ CỤ THỂ
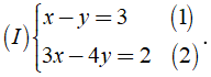
Câu 1: Giải hệ phương trình sau:
Hướng dẫn:
Làm theo thứ tự các bước
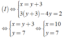
+ Bưới 1: Từ phương trình (1), ta rút x theo y, ta được x = y + 3 (*). Lấy kết quả này thế vào chỗ của x trong phương trình (2) ta được: 3(y + 3) - 4y = 2
+ Bước 2: Sử dụng phương trình (*) và phương trình mới khi thế , ta được hệ phương trình như sau:

Vậy hệ (I) có nghiệm duy nhất là (x; y) = (10; 7).
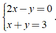
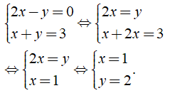
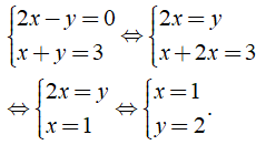
Câu 2: Giải hệ phương trình sau
Hướng dẫn:
Làm gộp các bước với nhau
Ta có

Vậy hệ đã cho có nghiệm duy nhất là (x; y) = (1; 2).
Bài lý thuyết: Giải hệ phương trình bằng phương pháp thế trên đây các bạn học sinh cùng quý thầy cô cần nắm vững kiến thức về quy tắc thế, cách giải phương trình bằng phương pháp thế...
Trên đây VnDoc đã giới thiệu tới các bạn lý thuyết môn Toán học 9: Giải hệ phương trình bằng phương pháp thế. Để có kết quả cao hơn trong học tập, VnDoc xin giới thiệu tới các bạn học sinh tài liệu Chuyên đề Toán học 9, Giải bài tập Toán lớp 9 mà VnDoc tổng hợp và giới thiệu tới các bạn đọc