Một số hệ thức về cạnh và góc trong tam giác vuông
Chuyên đề Toán học lớp 9: Một số hệ thức về cạnh và góc trong tam giác vuông được VnDoc sưu tầm và giới thiệu tới các bạn học sinh cùng quý thầy cô tham khảo. Nội dung tài liệu sẽ giúp các bạn học sinh học tốt môn Toán học lớp 9 hiệu quả hơn. Mời các bạn tham khảo.
Bài: Một số hệ thức về cạnh và góc trong tam giác vuông
1. Các hệ thức trong tam giác vuông.

Trong một tam giác vuông, mỗi cạnh góc vuông bằng:
+ Cạnh huyền nhân với sin góc đối hay nhân với côsin góc kề.
+ Cạnh góc vuông kia nhân với tan của góc đối hay nhân với cotg của góc kề.
b = a.sinB = a.cosC; c = a.sinC = a.cosB; b = c.tgB = c.cotgC; c = b.tgC = b.cotgC.
Chú ý: Trong một tam giác vuông nếu cho trước hai yếu tố (trong đó có ít nhất một yếu tố về cạnh và không kể góc vuông) thì ta sẽ tìm được các yếu tố còn lại.
2. Ví dụ cụ thể
Câu 1: Cho tam giác ABC có AB = 16, AC = 14 và ∠B = 60°.
a) Tính độ dài cạnh BC.
b) Tính diện tích tam giác ABC.
Hướng dẫn:

a) Kẻ đường cao AH.
Xét tam giác vuông ABH, ta có: BH = AB.cosB = AB.cos60° = 16.(1/2) = 8.
AH = AB.sinB = AB.sin60° = 16.(√3)/2 = 8√3
Áp dụng định lý Py – ta – go vào tam giác vuông AHC ta có:
HC2 = AC2 - AH2 = 142 - (8√3)2 = 196 - 192 = 4. Suy ra HC = 2.
Vậy BC = CH + HB = 2 + 8 = 10
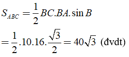
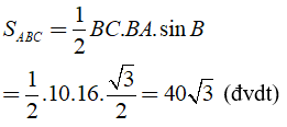
b) Ta có:

Câu 2: Một con thuyền băng qua một khúc sông với vận tốc là 3 km/h trong vòng 6 phút. Biết rằng hướng thuyền đi tạo với bờ một góc 60 độ. Tính chiều dài (m) của khúc sông đó.
Giải:

Ta giải bài toán thông qua hình vẽ trên
Nhận thấy ∠BAC = 30o
Ta đổi: 3(km/h) = 5/6(m/s); 6 phút = 360 giây
Khi đó ta có: S = (5/6). 360 = 300(m)
![]()
Với bài Một số hệ thức về cạnh và góc trong tam giác vuông trên đây các bạn học sinh cùng quý thầy cô cần nắm vững kiến thức về các hệ thức trong tam giác vuông ....
Trên đây VnDoc đã giới thiệu tới các bạn lý thuyết môn Toán học 9: Một số hệ thức về cạnh và góc trong tam giác vuông. Để có kết quả cao hơn trong học tập, VnDoc xin giới thiệu tới các bạn học sinh tài liệu Chuyên đề Toán học 9, Giải bài tập Toán lớp 9 mà VnDoc tổng hợp và giới thiệu tới các bạn đọc