Giải bài toán bằng cách lập phương trình (tiếp)
Chuyên đề Toán học lớp 9: Giải bài toán bằng cách lập phương trình được VnDoc sưu tầm và giới thiệu tới các bạn học sinh cùng quý thầy cô tham khảo. Nội dung tài liệu sẽ giúp các bạn học sinh học tốt môn Toán học lớp 9 hiệu quả hơn. Mời các bạn tham khảo.
Bài: Giải bài toán bằng cách lập phương trình
1. Các bước giải toán
Các bước giải bài toán bằng cách lập phương trình:
Bước 1: Lập phương trình:
+ Chọn ẩn và đặt điều kiện thích hợp cho chúng
+ Biểu diễn các đại lượng chưa biết theo các ẩn và các đại lượng đã biết.
+ Lập phương trình biểu thị mối quan hệ giữa các đại lượng .
Bước 2: Giải phương trình nói trên.
Bước 3: Trả lời: kiểm tra xem trong các nghiệm của phương trình, nghiệm nào thích hợp với bài toán và kết luận.
2. Ví dụ cụ thể
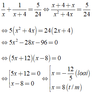
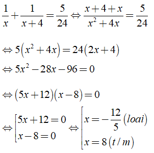
Câu 1: Cho một bể cạn (không có nước). Nếu hai vòi nước cùng được mở để chảy vào bể này thì sẽ đầy bể sau 4 giờ 48 phút. Nếu mở riêng từng vòi chảy vào bể thì thời gian vòi một chảy đầy bể sẽ ít hơn thời gian vòi hai chảy đầy bể là 4 giờ. Hỏi mỗi vòi chảy một mình thì sau bao lâu sẽ đầy bể?
Hướng dẫn:
Gọi thời gian vòi một chảy một mình đầy bể là x (giờ, x > 24/5)
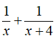
Khi đó trong một giờ vòi một chảy được 1/x (phần bể)
Vòi hai chảy một mình đầy bể trong x + 4 (giờ) nên trong một giờ chảy được:
(phần bể)
Tổng cộng trong một giờ hai vòi chảy được
(phần bể) (3)
Sau 4 giờ 48 phút = 24/5 giờ hai vòi cùng chảy thì đầy bể nên trong một giờ chảy được 5/24 (phần bể) (4)
Từ (3) và (4) ta có phương trình

Vậy thời gian vòi một chảy một mình đầy bể là 8 giờ. Vòi hai chảy một mình đầy bể là 8 + 4 = 12 (giờ).
Câu 2: Một mảnh đất hình chữ nhật có độ dài đường chéo là 13m và chiều dài lớn hơn chiều rộng là 7m. Tính chiều dài và chiều rộng của mảnh đất đó.
Hướng dẫn:
Gọi chiều rộng của mảnh đất hình chữ nhật là x (m, x > 0)
Chiều dài mảnh đất hình chữ nhật lớn hơn chiều rộng 7m nên chiều dài của mảnh đất hình chữ nhật là x + 7 (m)
Biết độ dài đường chéo là 13m nên theo định lý Pitago ta có phương trình:
x2 + (x + 7)2 = 132 ⇔ 2x2 + 14x - 120 = 0
Giải phương trình ta được x = 5 hoặc x = -12. Đối chiếu với điều kiện ta có chiều rộng mảnh đất hình chữ nhật là 5m và chiều dài mảnh đất đó là 12m.
Bài lý thuyết: Giải bài toán bằng cách lập phương trình (tiếp) trên đây các bạn học sinh cùng quý thầy cô cần nắm vững kiến thức về cách giải toán bằng phương pháp lập phương trình....
Trên đây VnDoc đã giới thiệu tới các bạn lý thuyết môn Toán học 9: Giải bài toán bằng cách lập phương trình (tiếp). Để có kết quả cao hơn trong học tập, VnDoc xin giới thiệu tới các bạn học sinh tài liệu Chuyên đề Toán học 9, Giải bài tập Toán lớp 9 mà VnDoc tổng hợp và giới thiệu tới các bạn đọc