Công thức nghiệm thu gọn
Chuyên đề Toán học lớp 9: Công thức nghiệm thu gọn được VnDoc sưu tầm và giới thiệu tới các bạn học sinh cùng quý thầy cô tham khảo. Nội dung tài liệu sẽ giúp các bạn học sinh học tốt môn Toán học lớp 9 hiệu quả hơn. Mời các bạn tham khảo.
Bài: Công thức nghiệm thu gọn
1. Công thức nghiệm thu gọn.
Đối với phương trình ax2 + bx + c = 0 (a ≠ 0) và b = 2b'; Δ' = b2 - ac.
+ Nếu Δ' > 0, phương trình có hai nghiệm phân biệt

+ Nếu Δ' = 0, phương tình có nghiệm kép là x1 = x2 = -b'/a
+ Nếu Δ < 0, phương trình đã cho vô nghiệm.
2. Ví dụ cụ thể
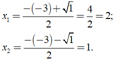
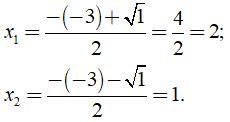
Câu 1: Giải phương trình 2x2 - 6x + 4 = 0
Hướng dẫn:
+ Tính Δ' = (-3)2 - 2.4 = 9 - 8 = 1 > 0
+ Do Δ' > 0, phương trình đã cho có hai nghiệm phân biệt là

Vậy phương trình đã cho có hai nghiệm là x1 = 2; x2 = 1.
Câu 2: Giải phương trình 3x2 - 6x + 3 = 0
Hướng dẫn:
+ Tính Δ' = (-3)2 - 3.3 = 9 - 9 = 0
+ Do Δ' = 0, phương trình có nghiệm kép là x1 = x2 = -(-3/3) = 1
Vậy phương trình có nghiệm kép là x1 = x2 = 1
Câu 3: Giải phương trình 5x2 - 2x + 3 = 0
Hướng dẫn:
+ Tính Δ' = (-1)2 - 5.3 = -14 < 0
+ Do Δ' < 0 nên phương trình đã cho vô nghiệm.
Vậy phương trình đã cho vô nghiệm.
Bài lý thuyết: Công thức nghiệm thu gọn trên đây các bạn học sinh cùng quý thầy cô cần nắm vững kiến thức về cách tìm nghiệm thu gọn của phương trình....
Trên đây VnDoc đã giới thiệu tới các bạn lý thuyết môn Toán học 9: Công thức nghiệm thu gọn. Để có kết quả cao hơn trong học tập, VnDoc xin giới thiệu tới các bạn học sinh tài liệu Chuyên đề Toán học 9, Giải bài tập Toán lớp 9 mà VnDoc tổng hợp và giới thiệu tới các bạn đọc