Đồ thị của hàm số y = ax + b
Chuyên đề Toán học lớp 9: Đồ thị của hàm số y = ax + b được VnDoc sưu tầm và giới thiệu tới các bạn học sinh cùng quý thầy cô tham khảo. Nội dung tài liệu sẽ giúp các bạn học sinh học tốt môn Toán học lớp 9 hiệu quả hơn. Mời các bạn tham khảo.
Chuyên đề: Đồ thị của hàm số y = ax + b
I. ĐỒ THỊ HÀM SỐ y = ax + b (a ≠ 0)
Đồ thị hàm số y = ax + b (a ≠ 0) là một đường thẳng:
+ Cắt trục tung tại điểm có tung độ bằng b.
+ Song song với đường thẳng y = ax nếu b ≠ 0, và trùng với đường thẳng y = ax nếu b = 0
Đồ thị này cũng được gọi là đường thẳng y = ax + b và b được gọi là tung độ gốc của đường thẳng.
Chú ý: Đồ thị hàm số y = ax + b (a ≠ 0) cắt trục hoành tại điểm Q(-b/a; 0).
Ví dụ 1:

Đồ thị hàm số y = 2x đi qua 2 điểm A(1; 2); O(0; 0).
Đồ thị hàm số y = 2x + 3 đi qua 2 điểm C(-1; 1); B(0; 3).
Nhận thấy đồ thị hàm số y = 2x song song với đồ thị hàm số y = 2x + 3.
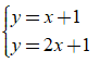
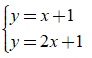
Ví dụ 2: Gọi A là giao điểm của hai đường thẳng y = x + 1 và y = 2x + 1, tìm tọa độ của điểm A?
Giải:
A thuộc cả hai đường thẳng nên tọa độ điểm A là nghiệm của hệ 
Giải hệ ta được
. Do đó tọa độ điểm A là
Vậy tọa độ cần tìm là
II. CÁCH VẼ ĐỒ THỊ HÀM SỐ y = ax + b (a ≠ 0)
+ Bước 1: Cho x = 0 thì y = b, ta được điểm P(0; b) thuộc trục tung Oy.
Cho y = 0 thì x = -b/a ta được điểm Q(-b/a; 0) thuộc trục hoành Ox
+ Bước 2: Vẽ đường thẳng đi qua hai điểm P và Q ta được đồ thị hàm số y = ax + b (a ≠ 0).
+ Chú ý: Vì đồ thị y = ax + b (a ≠ 0) là một đường thẳng nên muốn vẽ nó chỉ cần xác định hai điểm phân biệt thuộc đồ thị.
Do đó trong trường hợp giá trị (-b/a; 0) khó xác định trên trục Ox thì ta có thể thay thế điểm Q bằng cách chọn một giá trị x1 sao cho Q(x1; y1) trong đó y1 = ax1 + b dễ xác định hơn trên mặt phẳng tọa độ.
Ví dụ: Vẽ đồ thị hàm số y = 3x - 1
+ Bước 1: Cho x = 0 thì y = -1, ta được điểm P(0; -1) ∈ Oy.
Cho y = 2 thì x = 1 ta được điểm Q(1; 2) ∈ Ox
+ Bước 2: Vẽ đường thẳng đi qua hai điểm P và Q ta được đồ thị hàm số y = 3x - 1

Với bài Đồ thị của hàm số y = ax + b trên đây các bạn học sinh cùng quý thầy cô cần nắm vững kiến thức về cách vẽ đồ thị hàm số, định nghĩa về hàm số y = ax + b....
Trên đây VnDoc đã giới thiệu tới các bạn lý thuyết môn Toán học 9: Đồ thị của hàm số y = ax + b. Để có kết quả cao hơn trong học tập, VnDoc xin giới thiệu tới các bạn học sinh tài liệu Chuyên đề Toán học 9, Giải bài tập Toán lớp 9 mà VnDoc tổng hợp và giới thiệu tới các bạn đọc