Phương trình quy về phương trình bậc hai
Chuyên đề Toán học lớp 9: Phương trình quy về phương trình bậc hai được VnDoc sưu tầm và giới thiệu tới các bạn học sinh cùng quý thầy cô tham khảo. Nội dung tài liệu sẽ giúp các bạn học sinh học tốt môn Toán học lớp 9 hiệu quả hơn. Mời các bạn tham khảo.
Bài: Phương trình quy về phương trình bậc hai
Phương trình trùng phương là phương trình có dạng ax4 + bx2 + c = 0 (a ≠ 0)
Giải phương trình ax4 + bx2 + c = 0 (a ≠ 0)
+ Đặt ẩn phụ x2 = t, t ≥ 0
+ Giải phương trình ẩn phụ mới: at2 + bt + c = 0
+ Với mỗi giá trị tìm được của t, lại giải phương trình x2 = t.
Ví dụ: Giải phương trình x4 - 13x2 + 36 = 0
Hướng dẫn:
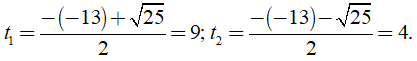
Đặt x2 = t, t ≥ 0 Khi đó ta được phương trình bậc hai đối với ẩn t là t2 - 13t + 36 = 0 (*)
Ta có: Δt = (-13)2 - 4.36 = 169 - 144 = 25 > 0
Khi đó phương trình (*) có hai nghiệm là:

+ Với t1 = 9 ta có x2 = 9 có hai nghiệm là x1 = 3; x2 = -3.
+ Với t2 = 4 ta có x2 = 4 có hai nghiệm là x1 = 2; x2 = -2.
2. Phương trình chứa ẩn ở mẫu
Khi giải phương trình chứa ẩn ở mẫu thức, ta làm như sau:
+ Bước 1: Tìm điều kiện xác định của phương trình
+ Bước 2: Quy đồng mẫu thức hai vế rồi khử mẫu thức
+ Bước 3: Giải phương trình vừa nhận được
+ Bước 4: Trong các giá trị tìm được của ẩn, loại các giá trị không thỏa mãn điều kiện xác định, các giá trị thỏa mãn điều kiện xác định là nghiệm của phương trình đã cho.
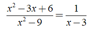
Ví dụ: Giải phương trình

Hướng dẫn:
Điều kiện x ≠ ±3.
Khi đó ta có

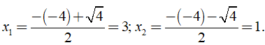
Ta có: Δ1 = (-4)2 - 4.3 = 16 - 12 = 4 > 0
Khi đó, phương trình (1) có hai nghiệm là:

Vậy phương trình có hai nghiệm là x1 = 3; x2 = 1
Bài lý thuyết: Phương trình quy về phương trình bậc hai trên đây các bạn học sinh cùng quý thầy cô cần nắm vững kiến thức về định nghĩa, tính chất, cách giải của các phương trình chứa ẩn ở mẫu, ....
Trên đây VnDoc đã giới thiệu tới các bạn lý thuyết môn Toán học 9: Phương trình quy về phương trình bậc hai. Để có kết quả cao hơn trong học tập, VnDoc xin giới thiệu tới các bạn học sinh tài liệu Chuyên đề Toán học 9, Giải bài tập Toán lớp 9 mà VnDoc tổng hợp và giới thiệu tới các bạn đọc