Hình trụ - Diện tích xung quanh và thể tích của hình trụ
Chuyên đề Toán học lớp 9: Hình trụ - Diện tích xung quanh và thể tích của hình trụ được VnDoc sưu tầm và giới thiệu tới các bạn học sinh cùng quý thầy cô tham khảo. Nội dung tài liệu sẽ giúp các bạn học sinh học tốt môn Toán học lớp 9 hiệu quả hơn. Mời các bạn tham khảo.
Bài: Hình trụ - Diện tích xung quanh và thể tích của hình trụ
1. Hình trụ
Khi quay hình chữ nhật ABCD một vòng quanh cạnh AB cố định, ta được một hình trụ.
+ Hai hình tròn (A) và (B) bằng nhau và nằm trong hai mặt phẳng song song được gọi là hai đáy của hình trụ.
+ Đường thẳng AB được gọi là trục của hình trụ.
+ Mỗi vị trí của CD được gọi là một đường sinh. Các đường sinh vuông góc với hai mặt phẳng đáy. Độ dài của đường sinh là chiều cao của hình trụ.

2. Cắt hình trụ bởi một mặt phẳng
+ Khi cắt hình trụ bởi một mặt phẳng song song với đáy, thì phần mặt phẳng nằm trong hình trụ (mặt cắt – thiết diện) là một hình tròn bằng hình tròn đáy.
+ Khi cắt hình trụ bởi một mặt phẳng song song với trục OO' thì mặt cắt là một hình chữ nhật

3. Diện tích và thể tích hình trụ
Cho hình trụ có bán kính đáy R và chiều cao h.
+ Diện tích xung quanh: Sxq = 2πRh
+ Diện tích toàn phần: Stp = 2πRh + 2πR2
+ Thể tích: V = πR2h

4. Ví dụ cụ thể
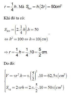
Câu 1: Một hình trụ có bán kính đáy bằng 1/4 đường cao. Khi cắt hình trụ này bằng một mặt phẳng đi qua trục thì mặt cắt là một hình chữ nhật có diện tích là 50cm2. Tính diện tích xung quanh và thể tích hình trụ.
Hướng dẫn:

Theo giả thiết ta có

Bài lý thuyết: Hình trụ - Diện tích xung quanh và thể tích của hình trụ trên đây các bạn học sinh cùng quý thầy cô cần nắm vững kiến thức về khái niệm hình trụ, cắt hình trụ bởi một mặt phẳng, công thức tình diện tích và thể tích hình trụ ...
Trên đây VnDoc đã giới thiệu tới các bạn lý thuyết môn Toán học 9: Hình trụ - Diện tích xung quanh và thể tích của hình trụ. Để có kết quả cao hơn trong học tập, VnDoc xin giới thiệu tới các bạn học sinh tài liệu Chuyên đề Toán học 9, Giải bài tập Toán lớp 9 mà VnDoc tổng hợp và giới thiệu tới các bạn đọc