Đường tròn ngoại tiếp - Đường tròn nội tiếp
Chuyên đề Toán học lớp 9: Đường tròn ngoại tiếp - Đường tròn nội tiếp được VnDoc sưu tầm và giới thiệu tới các bạn học sinh cùng quý thầy cô tham khảo. Nội dung tài liệu sẽ giúp các bạn học sinh học tốt môn Toán học lớp 9 hiệu quả hơn. Mời các bạn tham khảo.
Bài: Đường tròn ngoại tiếp - Đường tròn nội tiếp
1. Định nghĩa
+ Đường tròn đi qua tất cả các đỉnh của một đa giác được gọi là đường tròn ngoại tiếp đa giác và đa giác được gọi là đa giác nội tiếp đường tròn.
+ Đường tròn tiếp xúc với tất cả các cạnh của một đa giác được gọi là đường tròn nội tiếp đa giác và đa giác được gọi là đa giác ngoại tiếp đường tròn.

2. Định lý
+ Bất kì đa giác đều nào cũng có một và chỉ một đường tròn ngoại tiếp, có một và chỉ một đường tròn nội tiếp.
+ Tâm của hai đường tròn này trùng nhau và được gọi là tâm của đa giác đều.
+ Tâm này là giao điểm hai đường trung trực của hai cạnh hoặc là hai đường phân giác của hai góc.
3. Mở rộng
+ Bán kính đường tròn ngoại tiếp đa giác là khoảng cách từ tâm đến đỉnh.
+ Bán kính đường tròn nội tiếp đa giác là khoảng cách từ tâm O đến 1 cạnh.
+ Cho n_ giác đều cạnh a. Khi đó:
– Chu vi của đa giác: 2p = na (p là nửa chu vi).
– Mỗi góc ở đỉnh của đa giác có số đo bằng

– Mỗi góc ở tâm của đa giác có số đo bằng 360°/n.
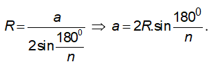
– Bán kính đường tròn ngoại tiếp:

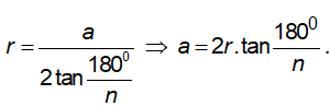
– Bán kính đường tròn nội tiếp:

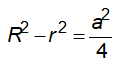
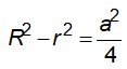
– Liên hệ giữa bán kính đường tròn ngoại tiếp và nội tiếp:

– Diện tích đa giác đều:
4. Ví dụ cụ thể
Câu 1: Một đường tròn có bán kính R = 3cm. Tính diện tích hình vuông nội tiếp đường tròn đó.
Hướng dẫn:
Ta có: Bán kính đường tròn ngoại tiếp:

Do tứ giác nội tiếp là hình vuông với n = 4, khi đó: a = R√2 = 3√2.
Diện tích hình vuông là: S = a2 = (3√2)2 = 18 cm2.
Bài lý thuyết: Đường tròn ngoại tiếp - Đường tròn nội tiếp trên đây các bạn học sinh cùng quý thầy cô cần nắm vững kiến thức về định nghĩa, định lý về đường tròn ngoại tiếp và nội tiếp ...
Trên đây VnDoc đã giới thiệu tới các bạn lý thuyết môn Toán học 9: Đường tròn ngoại tiếp - Đường tròn nội tiếp. Để có kết quả cao hơn trong học tập, VnDoc xin giới thiệu tới các bạn học sinh tài liệu Chuyên đề Toán học 9, Giải bài tập Toán lớp 9 mà VnDoc tổng hợp và giới thiệu tới các bạn đọc