Đề thi giữa học kì 2 môn Toán lớp 4 năm học 2018 - 2019
Đề thi giữa học kì 2 lớp 4
Đề thi giữa học kì 2 môn Toán lớp 4 năm 2018 - 2019 được VnDoc sưu tầm, tổng hợp kèm theo đáp án chi tiết giúp các em ôn tập, hệ thống, củng cố kiến thức chuẩn bị tốt cho các bài thi giữa học kì 2. Sau đây mời thầy cô cùng các bạn học sinh tham khảo và tải về trọn bộ đề thi, đáp án.
Đề bài: Đề thi giữa học kì 2 môn Toán lớp 4
I. PHẦN TRẮC NGHIỆM: (6 điểm)
Khoanh vào chữ đặt trước câu trả lời đúng:
Câu 1. (0,5 điểm) (M1). Số vừa chia hết cho 2, vừa chia hết cho 5 có tận cùng là:
A. 0
B. 1
C. 2
Câu 2. (0,5 điểm) (M1). Trong các số 32743; 41561; 54567 số chia hết cho 3 là:
A. 32743
B. 41561
C. 54567
Câu 3. (0,5 điểm) (M1). Phân số nào dưới đây bằng
\(\frac{3}{7}\)?
![]()
Câu 4. (0,5 điểm) (M1). Rút gọn phân số
\(\frac{12}{28}\)ta được kết quả là:

Câu 5. (0,5 điểm) (M2). Kết quả của phép cộng
\(\frac{2}{3}+\frac{1}{5}\)là:

Câu 6. (0,5 điểm) (M2). Cho số thích hợp để điền vào chỗ trống là
\(\frac{8}{15}\times9=\frac{....}{5}\):
A. 16
B. 24
C. 27
Câu 7. (0,5 điểm) (M1). Viết số thích hợp vào chỗ chấm:
\(\frac{1}{4}\)thế kỉ = ...........năm
A. 25
B. 20
C. 22
Câu 8. (0,5 điểm) (M1). 45dm2 37cm2 = .............cm2
A. 4037
B. 4537
C. 400537
Câu 9. (0,5 điểm) (M2). Một hình chữ nhật có diện tích
\(\frac{25}{16}\)m2, chiều dài
\(\frac{15}{4}\)m. Chiều rộng hình chữ nhật là:
![]()
Câu 10. (0,5 điểm) (M2). Cho hình bình hành có diện tích 525m2, chiều cao 15m. Đáy của hình bình hành là:
A. 45m
B. 35m
C. 25m
Câu 11. (0,5 điểm) (M3). Giá trị của biểu thức là
\(\frac{5}{9}+\frac{3}{8}\times\frac{4}{9}\):
![]()
Câu 12. (0,5 điểm) (M3).
\(\frac{5}{8}-\frac{1}{4}+\frac{3}{16}\)= .............. Số điền vào chỗ chấm là:
![]()
II. PHẦN TỰ LUẬN (4 điểm)
Câu 13. (1 điểm) Tính:
![]()
Câu 14. (2 điểm) Lớp 4A có 45 em, cuối năm học được xếp 3 loại:
\(\frac{1}{3}\)số em của lớp đạt loại Giỏi,
\(\frac{2}{5}\)số em của lớp đạt loại Khá, còn lại là loại trung bình. Hỏi lớp có bao nhiêu em xếp loại trung bình?
Bài giải
…………………………………………………………………………………………………..…………………………………………………………………………………………………..…………………………………………………………………………………………………..…………………………………………………………………………………………………..…………………………………………………………………………………………………..
…………………………………………………………………………………………………..…………………………………………………………………………………………………..
Câu 15. (1 điểm). Tính
![]()
>> Tham khảo: Đề thi giữa học kì 2 môn Toán lớp 4 năm 2018 - 2019 theo Thông tư 22
Đáp án: Đề thi giữa học kì 2 môn Toán lớp 4
I. Hướng dẫn chấm: Bài kiểm tra cho theo thang điểm 10, không cho điểm 0
- Điểm của bài kiểm tra nếu là điểm thập phân thì được làm tròn. Ví dụ: 9,25 làm tròn 9; 9,5 làm tròn 10.
- Bài kiểm tra định kỳ được giáo viên sửa lỗi, nhận xét những ưu điểm và góp ý những hạn chế.
II. Đáp án, biểu điểm
|
Câu |
Nội dung |
Điểm |
|
1 |
A |
0,5 |
|
2 |
C |
0,5 |
|
3 |
C |
0,5 |
|
4 |
C |
0,5 |
|
5 |
B |
0,5 |
|
6 |
B |
0,5 |
|
7 |
A |
0,5 |
|
8 |
B |
0,5 |
|
9 |
B |
0,5 |
|
10 |
B |
0,5 |
|
11 |
A |
0,5 |
|
12 |
A |
0,5 |
|
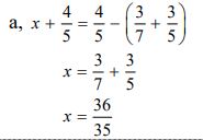
13 |
a, |
0,5 |
|
b, |
0,5 |
|
|
14
|
Bài giải Phân số chỉ số em xếp loại Giỏi và Khá là
|
0,25
0,5 |
|
Phân số chỉ số em xếp loại trung bình là
|
0,5 |
|
|
Số em xếp loại trung bình là
|
0,5 |
|
|
Đáp số: 12 em |
0,25 |
|
|
15
|
a, |
0,5 |
|
|
0,5 |
Tham khảo đề ôn tập giữa học kì 2 lớp 4:
- Đề ôn tập giữa học kì 2 môn Toán lớp 4 - Đề 1
- Đề ôn tập giữa học kì 2 môn Toán lớp 4 - Đề 2
- Đề ôn tập giữa học kì 2 môn Toán lớp 4 - Đề 3
- Đề ôn tập giữa học kì 2 môn Toán lớp 4 - Đề 4
- Đề ôn tập giữa học kì 2 môn Toán lớp 4 - Đề 5
Ngoài ra các em học sinh hoặc quý phụ huynh còn có thể tham khảo thêm đề thi giữa học kì 2 lớp 4 các môn Toán, Tiếng Việt, Tiếng Anh theo chuẩn thông tư 22 của bộ Giáo Dục và các dạng bài ôn tập môn Tiếng Việt 4, và môn Toán 4. Những đề thi này được VnDoc.com sưu tầm và chọn lọc từ các trường tiểu học trên cả nước nhằm mang lại cho học sinh lớp 4 những đề ôn thi học kì 2 chất lượng nhất. Mời các em cùng quý phụ huynh tải miễn phí đề thi về và ôn luyện