Toán lớp 5 Chân trời sáng tạo Bài 98: Ôn tập số đo thời gian, vận tốc, quãng đường, thời gian
Toán lớp 5 Chân trời sáng tạo Bài 98: Ôn tập số đo thời gian, vận tốc, quãng đường, thời gian bao gồm hướng dẫn giải chi tiết, giúp các em học sinh nắm được cách giải Toán hay nhất. Mời các em cùng tham khảo chi tiết các bài tập trong SGK Toán lớp 5 trang 105, 106, 107.
Bài 98: Ôn tập số đo thời gian, vận tốc, quãng đường, thời gian
Toán lớp 5 trang 105, 106 Tập 2 Luyện tập
Toán lớp 5 Tập 2 trang 105 Bài 1
Câu nào đúng, câu nào sai?
a) Hai đơn vị đo thời gian liền kề (giờ, phút, giây), đơn vị lớn hơn gấp 10 lần đơn vị bé hơn.
b) 1 tháng = 30 ngày.
c) Nếu một năm có 365 ngày thì năm đó không phải là năm nhuận.
d) Từ năm 1 đến năm 100 là thế kỉ I.
Lời giải:
a) Hai đơn vị đo thời gian liền kề (giờ, phút, giây), đơn vị lớn hơn gấp 10 lần đơn vị bé hơn. S ai
b) 1 tháng = 30 ngày. S ai
c) Nếu một năm có 365 ngày thì năm đó không phải là năm nhuận. Đ úng
d) Từ năm 1 đến năm 100 là thế kỉ I. Đ úng
Giải thích
a) 1 giờ = 60 phút
1 phút = 60 giây
1 giờ = 3 600 giây
b) Một số tháng có 30 ngày, một số tháng có 31 ngày, tháng 2 có 28 hoặc 29 ngày.
c) Năm nhuận có 366 ngày.
Toán lớp 5 Tập 2 trang 105 Bài 2
Số?
|
a) 12 phút = .?. giây |
b) 5 ngày = .?. giờ 3 năm rưỡi = .?. tháng |
Lời giải:
|
a) Giải thích
|
b) 5 ngày = 120 giờ Giải thích 5 ngày = 5 × 24 giờ = 120 giờ |
|
12 phút = 720 giây Giải thích 12 phút = 12 × 60 giây = 720 giây |
3 năm rưỡi = 42 tháng Giải thích 3 năm rưỡi = 3,5 × 12 tháng = 42 tháng |
Toán lớp 5 Tập 2 trang 105 Bài 3
Thay .?. bằng số thập phân thích hợp.
|
a) 195 giây = .?. phút 288 phút = .?. giờ |
b) 30 tháng = .?. năm 18 giờ = .?. ngày |
Lời giải:
|
a) 195 giây = 3,25 phút Giải thích 195 giây = |
b) 30 tháng = 2,5 năm Giải thích 30 tháng = |
|
288 phút = 4,8 giờ Giải thích 288 phút = |
18 giờ = 0,75 ngày Giải thích 18 giờ = |
Toán lớp 5 Tập 2 trang 105 Bài 4
Dựa vào hình dưới đây, thay .?. lại bằng số thích hợp.
Sáng Chủ nhật, ngày 7 tháng 2 năm .?. Trường Tiểu học Hoa Ban đã tổ chức Ngày hội thể thao của học sinh. Lúc .?. giờ .?. phút, ngườivề đích đầu tiên là bạn Vừ A Sủng thuộc đôi chạy việt dã của lớp 5D.

Lời giải:
Sáng Chủ nhật, ngày 30 tháng 4 năm 2023 Trường Tiểu học Hoa Ban đã tổ chức Ngày hội thể thao của học sinh. Lúc 8 giờ 35 phút, người về đích đầu tiên là bạn Vừ A Sủng thuộc đội chạy việt dã của lớp 5D.
Toán lớp 5 Tập 2 trang 106 Bài 5
Quan sát lịch bốn tháng đầu năm 2023 rồi trả lời các câu hỏi.

a) Năm 2023 thuộc thế kỉ nào? Năm 2023 có phải là năm nhuận không?
b) Giỗ tổ Hùng Vương vào thứ Bảy cuối cùng của tháng 4, đó là ngày nào?
c) Ngày cuối cùng của năm 2023 là ngày thứ mấy?
Lời giải:
a) Năm 2023 thuộc thế kỉ XXI. Năm 2023 không phải là năm nhuận (Vì tháng 2 có 28 ngày)
b) Giỗ tổ Hùng Vương vào thứ Bảy cuối cùng của tháng 4, đó là ngày 29.
c) Ngày cuối cùng của năm 2023 là ngày Chủ Nhật.
Giải thích: Năm 2023 không phải là năm nhuận nên có 365 ngày. Một tuần có 7 ngày nên ta lấy:
365 : 7 = 52 tuần dư 1 ngày
Quan sát tờ lịch ta thấy ngày đầu tiên của năm 2023 (ngày 1 tháng 1) là Chủ nhật.
Vậy ngày thứ 364 (sau 52 tuần) là thứ Bảy. Ngày thứ 365 là Chủ nhật.
Toán lớp 5 Tập 2 trang 106 Bài 6
Tính.
a) 8 giờ 43 phút + 1 giờ 27 phút
b) 30 ngày 6 giờ – 15 ngày 9 giờ
c) 15 phút 12 giây × 7
d) 28 phút 45 giây : 3
Lời giải:
a) 8 giờ 43 phút + 1 giờ 27 phút

b) 30 ngày 6 giờ – 15 ngày 9 giờ

c) 15 phút 12 giây × 7

d) 28 phút 45 giây : 3

Toán lớp 5 Tập 2 trang 106 Bài 7
Số?
Một xe khách khởi hành từ A lúc 7 giờ 30 sáng, đến B lúc 14 giờ cùng ngày. Dọc đường, xe khách nghỉ 45 phút. Thời gian xe di chuyển trên quãng đường AB là .?. giờ.
Lời giải:
Thời gian xe di chuyển trên quãng đường AB là:
14 giờ - 7 giờ 30 phút - 45 phút = 5 giờ 45 phút
Đáp số: 5 giờ 45 phút
Toán lớp 5 trang 106 Tập 2 Khám phá
• Năm hay tuần?
Có một loài ve sầu, khi còn là ve non, chúng sống trong lòng đất 17 .?. Sau đó, chúng chui lên mặt đất và sống trong 4 .?.

• Số?
Ngày nay, chúng ta có thể đi lại an toàn bằng máy bay, có những phương pháp chữa bệnh hiện đại, ... Nếu không có máy tính điện tử, những điều này không thể xảy ra. Chiếc máy tính điện tử đầu tiên ra đời và được công bố vào năm 1946, là vào thế kỉ .?. Chiếc máy này có khối lượng khoảng 30 tấn. Máy tính điện tử ngày nay gọn nhẹ hơn rất nhiều.

Lời giải:
Có một loài ve sầu, khi còn là ve non, chúng sống trong lòng đất 17 năm Sau đó, chúng chui lên mặt đất và sống trong 4 tuần
Ngày nay, chúng ta có thể đi lại an toàn bằng máy bay, có những phương pháp chữa bệnh hiện đại, ... Nếu không có máy tính điện tử, những điều này không thể xảy ra. Chiếc máy tính điện tử đầu tiên ra đời và được công bố vào năm 1946, là vào thế kỉ XX Chiếc máy này có khối lượng khoảng 30 tấn. Máy tính điện tử ngày nay gọn nhẹ hơn rất nhiều.
Toán lớp 5 trang 107 Tập 2 Luyện tập
Toán lớp 5 Tập 2 trang 107 Bài 8
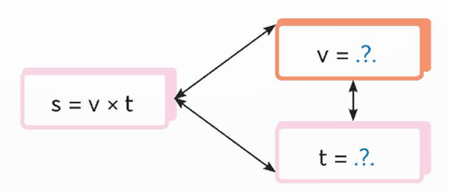
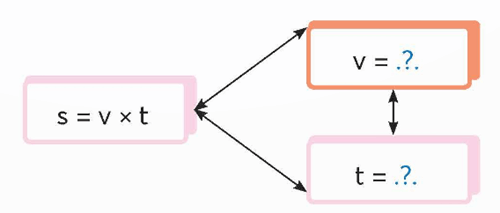
Dựa vào cách tính quãng đường, hãy viết cách tính vận tốc và thời gian.

Lời giải:

Toán lớp 5 Tập 2 trang 107 Bài 9
Số đo?

Lời giải:

Toán lớp 5 Tập 2 trang 107 Bài 10
Biểu đổ bên biểu thị vận tốc của một ô tô khi di chuyển từ A đến B. Tính vận tốc trung bình của ô tô trên quãng đường AB.

Lời giải:
Vận tốc trung bình của ô tô trên quãng đường AB là:
(45 + 85 + 70 + 50) : 4 = 62,5 (km/giờ)
Đáp số: 62,5 km/gi
Toán lớp 5 trang 107 Tập 2 Vui học
km/ giờ, giờ, phút hay °C?

Lời giải:

>> Tải về để lấy file PDF!
VNDOC Gợi ý: