Giải Toán 10 Bài 3: Các phép toán trên tập hợp CTST
Giải Toán 10 CTST Bài 3: Các phép toán trên tập hợp
Giải Toán 10 Bài 3: Các phép toán trên tập hợp CTST vừa được VnDoc.com sưu tầm và xin gửi tới bạn đọc cùng tham khảo. Hi vọng qua bài viết này bạn đọc có thêm nhiều tài liệu để học tập tốt hơn môn Toán lớp 10. Mời các bạn cùng theo dõi chi tiết bài viết dưới đây nhé.
Bài 1 trang 25 Toán 10 CTST Tập 1
Xác định các tập hợp A ∪ B và A ∩ B với:
a) A = {đỏ; cam; vàng; lục; lam}, B = {lục; lam; chàm; tím};
b) A là tập hợp các tam giác đều, B là tập hợp các tam giác cân.
Lời giải
a) Tập A ∪ B = {đỏ; cam; vàng; lục; lam; chàm; tím}.
Các phần tử vừa thuộc tập hợp A và B là: lục; lam.
Do đó A ∩ B = {lục; lam}.
Vậy A ∪ B = {đỏ; cam; vàng; lục; lam; chàm; tím} và A ∩ B = {lục; lam}.
b) Vì mọi tam giác đều là tam giác cân nên tập A là tập hợp con của B.
Khi đó A ∪ B = B và A ∩ B = A.
Vậy A ∪ B = B và A ∩ B = A.
Bài 2 trang 25 SGK Toán 10 CTST Tập 1
Xác định tập hợp A ∩ B trong mỗi trường hợp sau:
a) A = {x ∈ ℝ | x2 – 2 = 0}, B = {x ∈ ℝ | 2x – 1 < 0};
b) A = {(x; y)| x, y ∈ ℝ , y = 2x – 1}, B = {(x; y)| x, y ∈ ℝ, y = - x + 5};
c) A là tập hợp các hình thoi, B là tập hợp các hình chữ nhật.
Lời giải
a) Xét phương trình: x2 – 2 = 0 ⇔
\(\left\{\begin{array}{l}x\;=-\sqrt2\\x\;=\;\sqrt2\end{array}\right.\)
=> A =
\(\left(-\sqrt{2;\;}\sqrt2\right)\)
Xét bất phương trình 2x – 1 < 0 ⇔ x <
\(\frac12\)
⇒B={x∈R∣x<
\(\frac12\)}
Ta có −√2<
\(\frac12\) và √2>
\(\frac12\) nên −√2∈B,√2∉B
Do đó A ∩ B = {−√2}
Vậy A ∩ B = {−√2}
b) Ta có: A ∩ B = {(x; y)| x, y ∈ ℝ, y = 2x – 1, y = -x + 5}
Các cặp (x; y) thuộc tập hợp A ∩ B thỏa mãn y = 2x – 1, y = -x + 5 (x, y ∈ ℝ)
Xét phương trình hoành độ giao điểm 2x – 1 = -x + 5
⇔ 2x + x = 5 + 1
⇔ 3x = 6
⇔ x = 2
⇒ y = - 2 + 5 = 3
Do đó A ∩ B = {(2; 3)}.
Vậy A ∩ B = {(2; 3)}.
c) Hình thoi không là hình chữ nhật và hình chữ nhật cũng không là hình thoi. Nhưng hình vuông vừa là hình thoi vừa là hình chữ nhật.
Do đó A ∩ B là tập hợp các hình vuông.
Vậy A ∩ B là tập các hình vuông.
Bài 3 trang 25 SGK Toán 10 CTST Tập 1
Cho E = {x ∈ ℕ | x < 10}, A = {x ∈ E| x là bội của 3}, B = {x ∈ E| x là ước của 6}. Xác định các tập hợp A\B, B\A, CEA, CEB, CE(A∪B), CE(A∩B).
Lời giải
Tập hợp E là tập các số tự nhiên nhỏ hơn 10 nên E = {0; 1; 2; 3; 4; 5; 6; 7; 8; 9}.
Trong tập hợp E, các số là bội của 3 là: 0; 3; 6; 9. Khi đó A = {0; 3; 6; 9}.
Trong tập hợp E, các số là ước của 6 là: 1; 2; 3; 6. Khi đó B = {1; 2; 3; 6}.
Các tập hợp đã cho được xác định như sau:
- Tập hợp A\B là tập các phần tử thuộc tập A không thuộc tập hợp B nên A\B = {0; 9}.
- Tập hợp B\A là tập các phần tử thuộc tập B không thuộc tập hợp A nên B\A = {1; 2}.
- Tập hợp CEA là tập hợp phần bù của tập E và A nên CEA = {1; 2; 4; 5; 7; 8}.
- Tập hợp CEB là tập hợp phần bù của tập E và B nên CEB = {0; 4; 5; 7; 8; 9}.
Ta có A∪B = {0; 1; 2; 3; 6; 9}, A∩B = {3; 6}
- Tập hợp CE(A∪B) là tập hợp phần bù của tập A∪B trong E nên CE(A∪B) = {4; 5; 7; 8}.
- Tập hợp CE(A∩B) là tập hợp phần bù của tập A∩B trong E nên CE(A∩B) = {0; 1; 2; 4; 5; 7; 8; 9}.
Bài 4 trang 25 SGK Toán 10 CTST Tập 1
Cho A và B là hai tập hợp bất kì. Trong mỗi cặp tập hợp sau đây, tập hợp nào là tập con của tập hợp còn lại? Hãy giải thích bằng cách sử dụng biểu đồ Ven.
a) A và A∪B;
b) A và A∩B.
Lời giải
Ta có sơ đồ ven sau:

Ta thấy tập hợp A ∪ B bao gồm phần màu xanh, phần màu tím và phần màu cam.
Tập hợp A chứa phần màu xanh cộng màu tím nằm hoàn toàn trong tập hợp A ∪ B. Do đó tập A là tập con của tập A ∪ B. Ta viết A ⊂ (A∪B).
Tập hợp A∩B là phần màu tím và nằm hoàn toàn trong tập hợp A nên tập A∩B là tập con của tập A. Ta viết (A∩B) ⊂ A.
Bài 5 trang 25 SGK Toán 10 CTST Tập 1
Trong số 35 học sinh của lớp 10H, có 20 học sinh thích học môn Toán, 16 học sinh thích môn Tiếng Anh và 12 học sinh thích cả hai môn này. Hỏi lớp 10H:
a) có bao nhiêu học sinh thích ít nhất một trong hai môn Toán và Tiếng Anh?
b) có bao nhiêu học sinh không thích cả hai môn này?
Lời giải
Ta có sơ đồ ven:

a) Gọi A là tập hợp học sinh của lớp 10H thích học môn Toán, B là tập hợp học sinh của lớp 10H thích học môn Tiếng Anh.
Theo giả thiết, n(A) = 20, n(B) = 16, n(A∩B) = 12.
Nhận thấy rằng, nếu tính tổng n(A) + n(B) thì ta được số học sinh lớp 10H thích môn Toán hoặc Tiếng Anh, nhưng số bạn thích cả hai môn được tính hai lần. Do đó, số bạn học sinh thích ít nhất một trong hai môn Toán và Tiếng Anh là:
n(A∪B) = n(A) + n(B) – n(A∩B) = 20 + 16 – 12 = 24.
Vậy lớp 10H có 24 học sinh thích ít nhất một trong hai môn Toán và Tiếng Anh.
b) Số học sinh của lớp 10H không thích cả hai môn Toán và Tiếng Anh là:
35 – 24 = 11 (học sinh).
Vậy có 11 học sinh của lớp 10H không thích cả hai môn Toán và Tiếng Anh.
Bài 6 trang 25 SGK Toán 10 CTST Tập 1
Xác định các tập hợp sau đây:
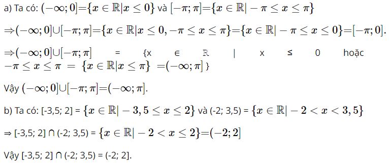
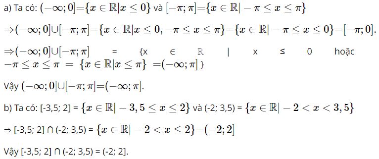
a) (−∞;0]∪[−π;π];
b) [-3,5; 2] ∩ (-2; 3,5);
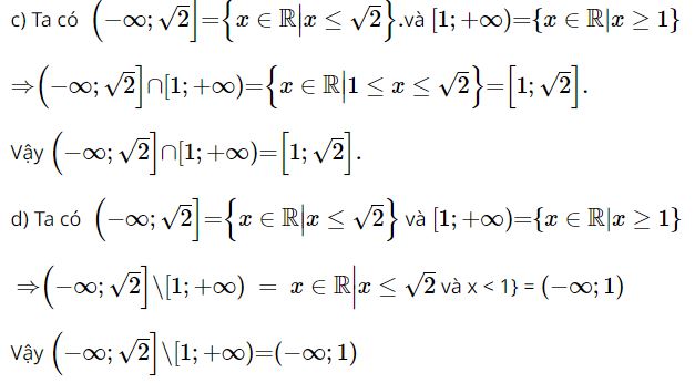
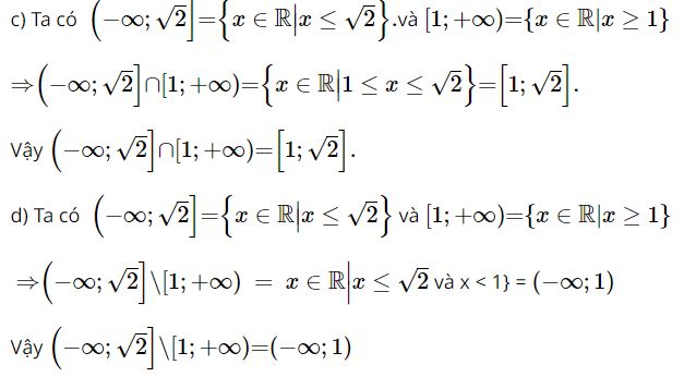
c) (−∞;√2]∩[1;+∞);
d) (−∞;√2]\[1;+∞) .
Lời giải


VnDoc.com xin gửi tới bạn đọc bài viết Giải Toán 10 Bài 3: Các phép toán trên tập hợp CTST. Bài viết đã hướng dẫn bạn đọc trả lời các câu hỏi trong SGK Toán 10 CTST. Mời các bạn cùng tham khảo thêm tài liệu học tập các môn Ngữ văn 10 CTST, Tiếng Anh lớp 10...